zadnja posodobitev :
18/03/2026
Zdravilo za zaviranje imunske odzivnosti   Ciclosporin  
Peroralna raztopina
Brizgalka Kapljice za oči Mazila
Stabilnost farmacevtskih preparatov Stabilnost mešanice Faktorji, ki vplivajo na stabilnost Kompatibilnost Viri pdf
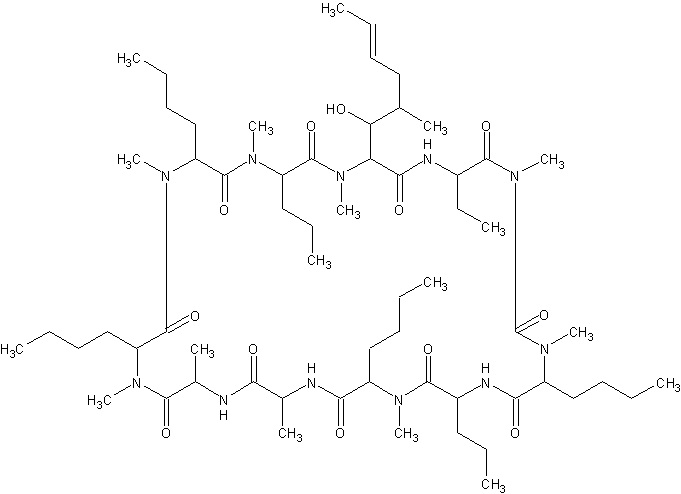
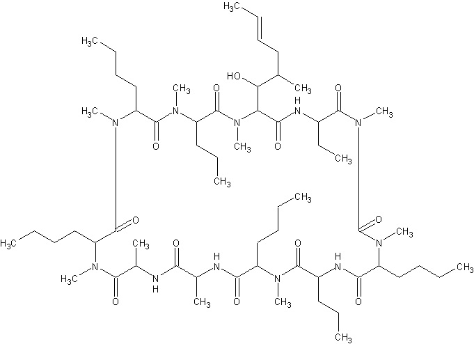
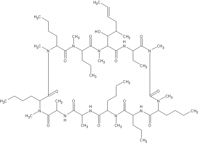
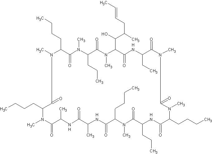
   Kemična formula  

Peroralna raztopina
Viri   Peroralna raztopina   Viri : Ciclosporin  
Tip objava
453 časopis Ptachcinski RJ, Walker S, Burckart GJ, Venkataramanan R.
Stability and availability of cyclosporine stored in plastic syringes.
Am J Hosp Pharm 1986 ; 43: 692-694.
4198 časopis Uriel M, Gomez-Rincon C, Marro D.
Stability of regularly prescribed oral liquids formulated with SyrSpend® SF.
Pharmazie 2018 73;196-201

  Mentions Légales