Dernière mise à jour :
18/03/2026
Immunosuppresseur   Ciclosporin  
Solution buvable
Collyre Forme dermique injectable
Stabilité des préparations Stabilité en mélange Facteur influençant la stabilité Compatibilités Bibliographie pdf
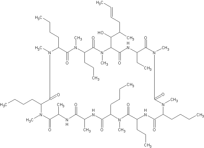
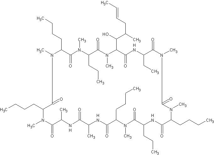
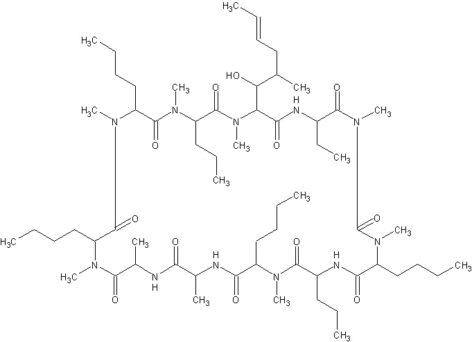
   Structure chimique  

Solution buvable
Bibliographie   Solution buvable   Bibliographie : Ciclosporin  
Type Source
453 Revue Ptachcinski RJ, Walker S, Burckart GJ, Venkataramanan R.
Stability and availability of cyclosporine stored in plastic syringes.
Am J Hosp Pharm 1986 ; 43: 692-694.
4198 Revue Uriel M, Gomez-Rincon C, Marro D.
Stability of regularly prescribed oral liquids formulated with SyrSpend® SF.
Pharmazie 2018 73;196-201

  Mentions Légales