Последно актуализиране :
18/03/2026
Имунопотискащ   Ciclosporin  
Орален разтвор
Инжекция/Инжекционен Капки за очи Унгвент/Унгвенти
Стабилност на лекарствени препарати Стабилност на смеси Фактори, повлияващи стабилността Съвместимост Библиография Pdf
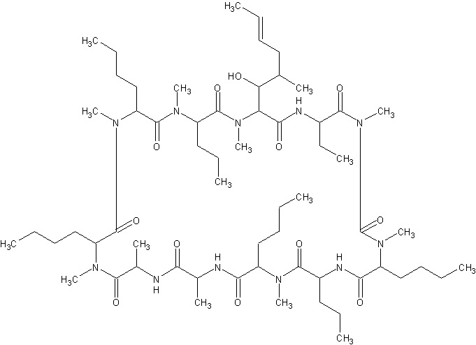
   Химична структура  

Орален разтвор
Библиография   Орален разтвор   Библиография : Ciclosporin  
Вид Публикация
453 Списание Ptachcinski RJ, Walker S, Burckart GJ, Venkataramanan R.
Stability and availability of cyclosporine stored in plastic syringes.
Am J Hosp Pharm 1986 ; 43: 692-694.
4198 Списание Uriel M, Gomez-Rincon C, Marro D.
Stability of regularly prescribed oral liquids formulated with SyrSpend® SF.
Pharmazie 2018 73;196-201

  Mentions Légales