Cập nhật lần cuối :
18/03/2026
Thuốc chống loạn nhịp   Flecainide acetate  
Dung dịch uống
Dạng tiêm
Tính ổn định của các chế phẩm Độ ổn định khi trộn lẫn Những yếu tố ảnh hưởng đến độ ổn định Khả năng tương thích Tài liệu tham khảo Pdf
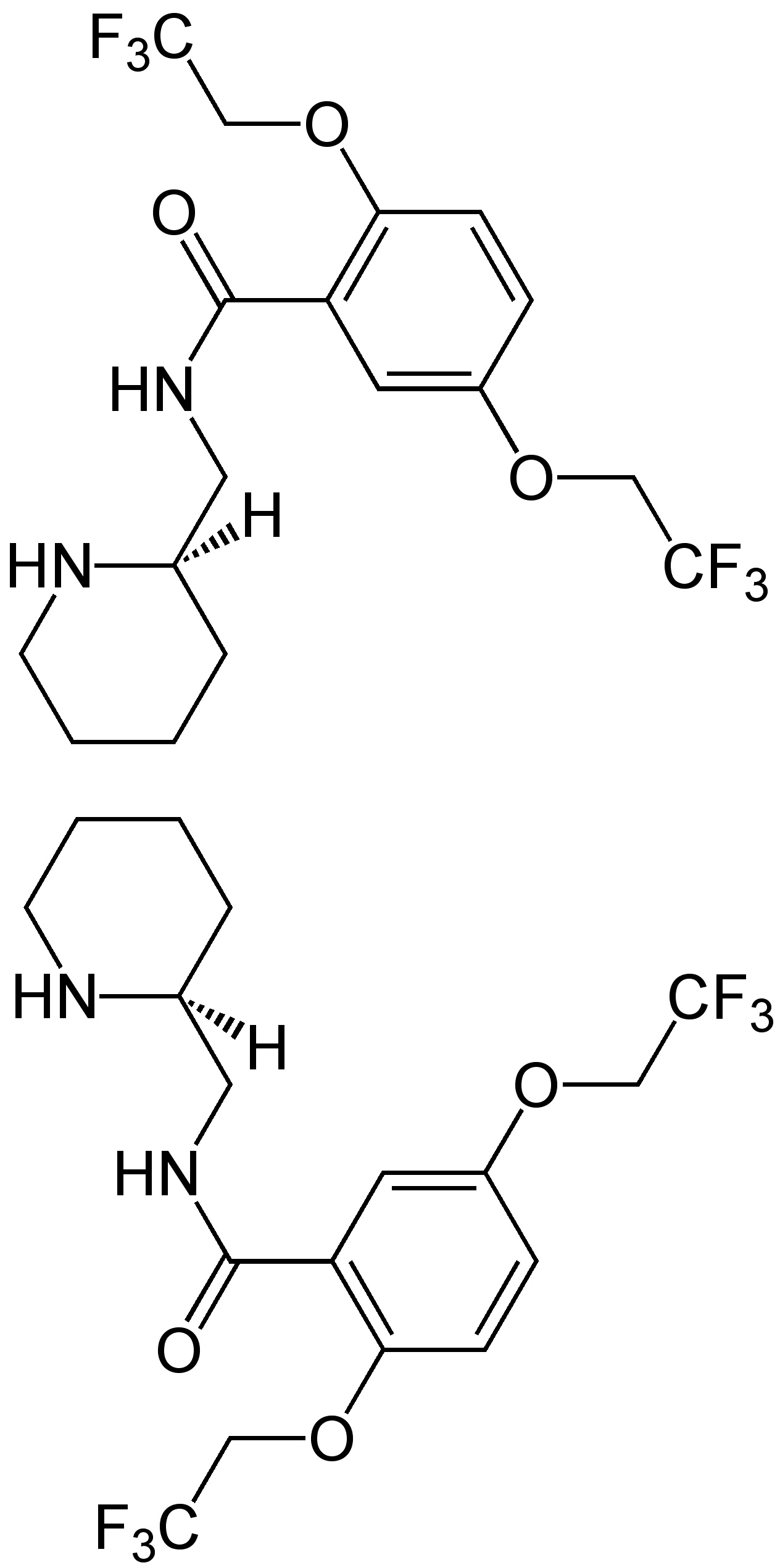
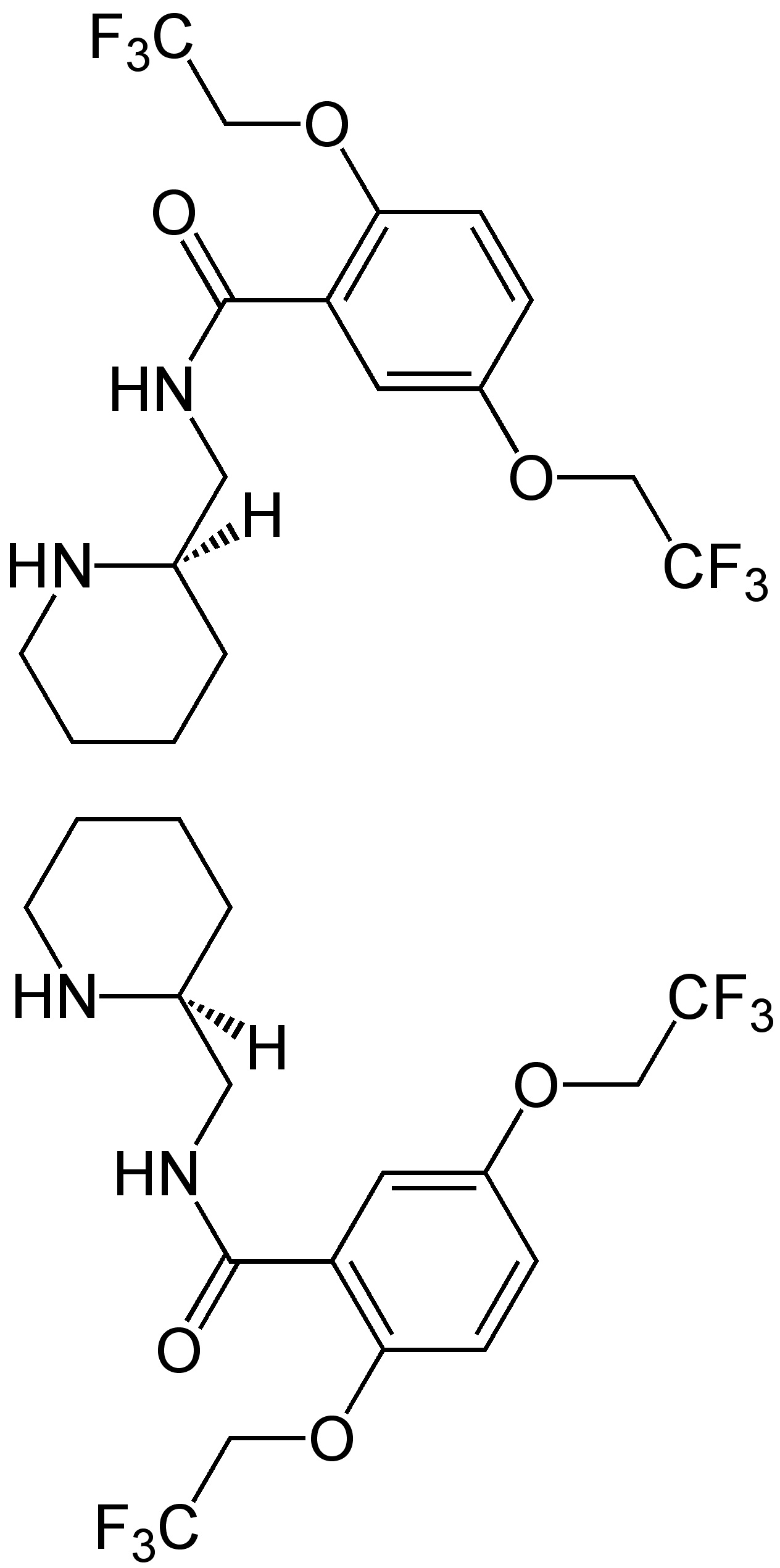
   Cấu trúc hóa học  

Dung dịch uống
Tính ổn định của các chế phẩm   Dung dịch uống   Tính ổn định của các chế phẩm : Flecainide acetate     
Bao bì Nguyên bản Tá dược Nhiệt độ Bảo quản Thời gian ổn định Mục lục
Thủy tinh Các viên nén 400 mg
Apocard®
SyrSpend SF® >> 20 ml
25°C Không rõ
90 Ngày
4198

Thủy tinh Các viên nén 400 mg
Apocard®
SyrSpend SF® >> 20 ml
4°C Không rõ
90 Ngày
4198

Lọ nhựa Các viên nén 2400 mg
?
OraPlus® / OraSweet® (1:1) >> 120 ml
25°C Tránh ánh sáng
60 Ngày
2433

Lọ nhựa Các viên nén 2400 mg
?
OraPlus® / OraSweet SF® (1:1) >> 120 ml
25°C Tránh ánh sáng
60 Ngày
2433

Lọ nhựa Các viên nén 2400 mg
?
Si rô anh đào >> 120 ml
25°C Tránh ánh sáng
60 Ngày
2433

Lọ nhựa Các viên nén 2400 mg
?
OraPlus® / OraSweet® (1:1) >> 120 ml
4°C Tránh ánh sáng
60 Ngày
2433

Lọ nhựa Các viên nén 2400 mg
?
OraPlus® / OraSweet SF® (1:1) >> 120 ml
4°C Tránh ánh sáng
60 Ngày
2433

Lọ nhựa Các viên nén 2400 mg
?
Si rô anh đào >> 120 ml
4°C Tránh ánh sáng
60 Ngày
2433


  Mentions Légales