Останнє оновлення :
27/11/2025
Антиаритмічний   Flecainide acetate  
Розчин для перорального застосування
ін'єкція
Стабільність фармацевтичних препаратів Стійкість сумішей Фактори, що впливають на стабільність Сумісність Список літератури pdf
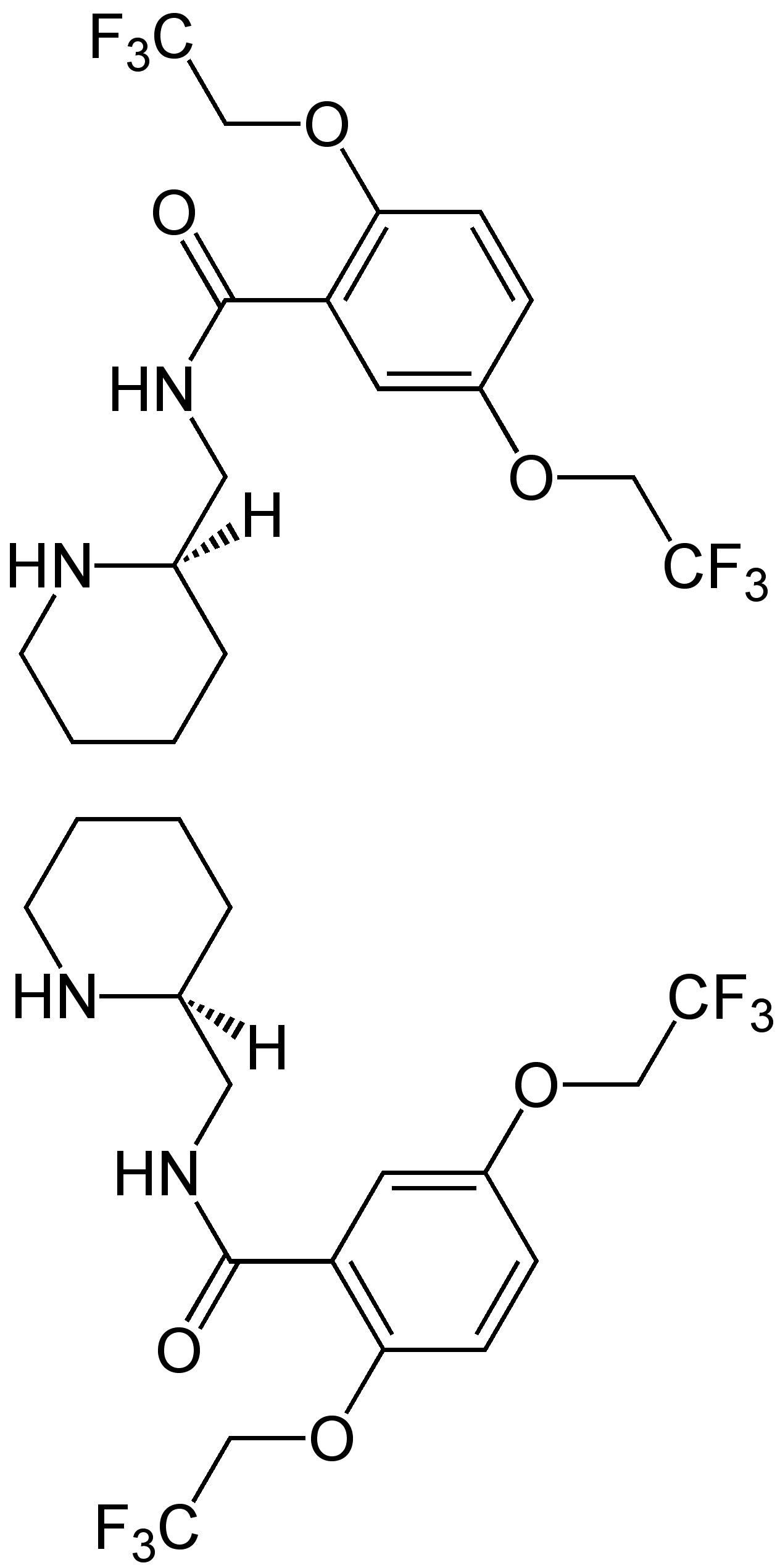
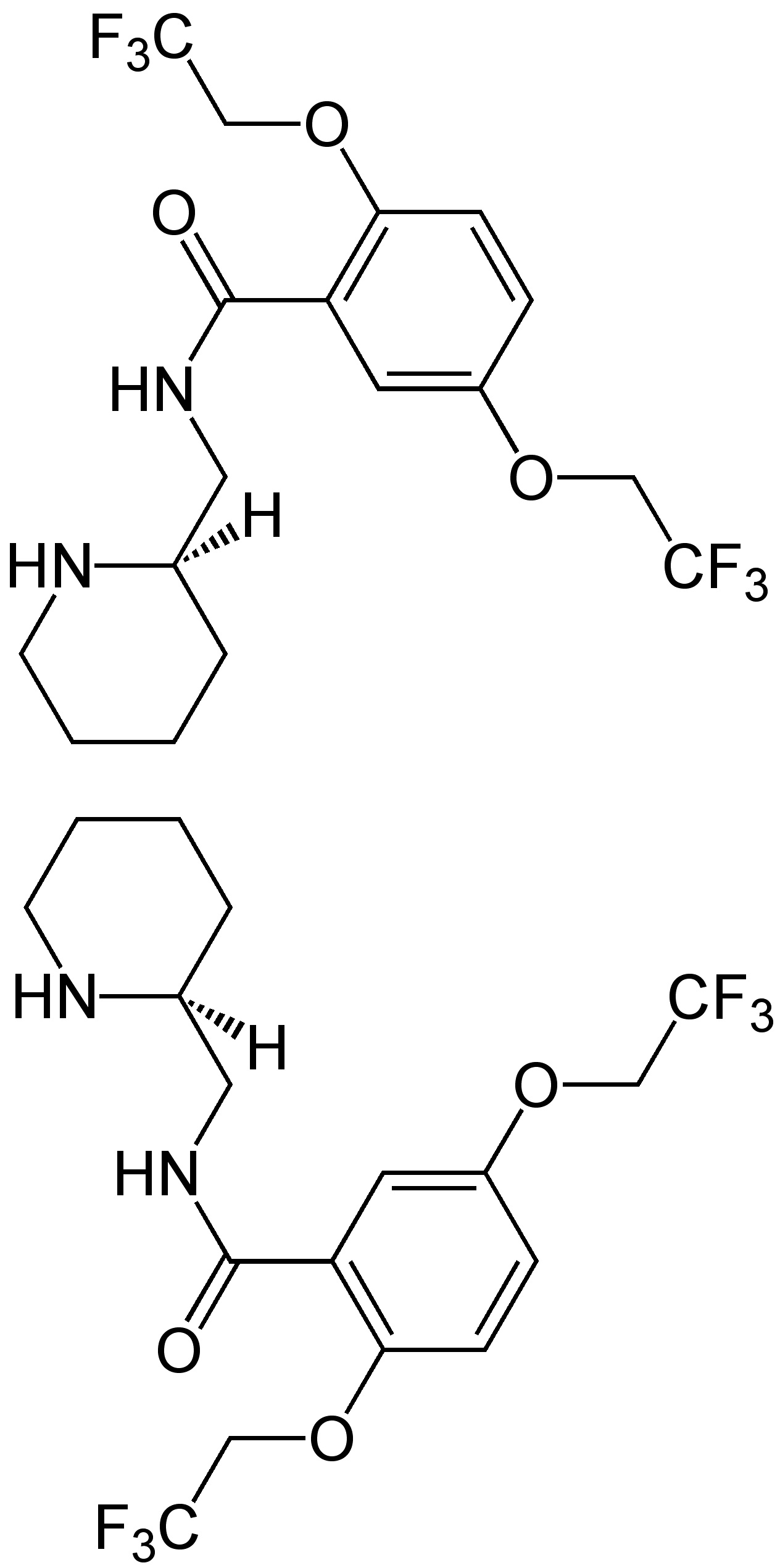
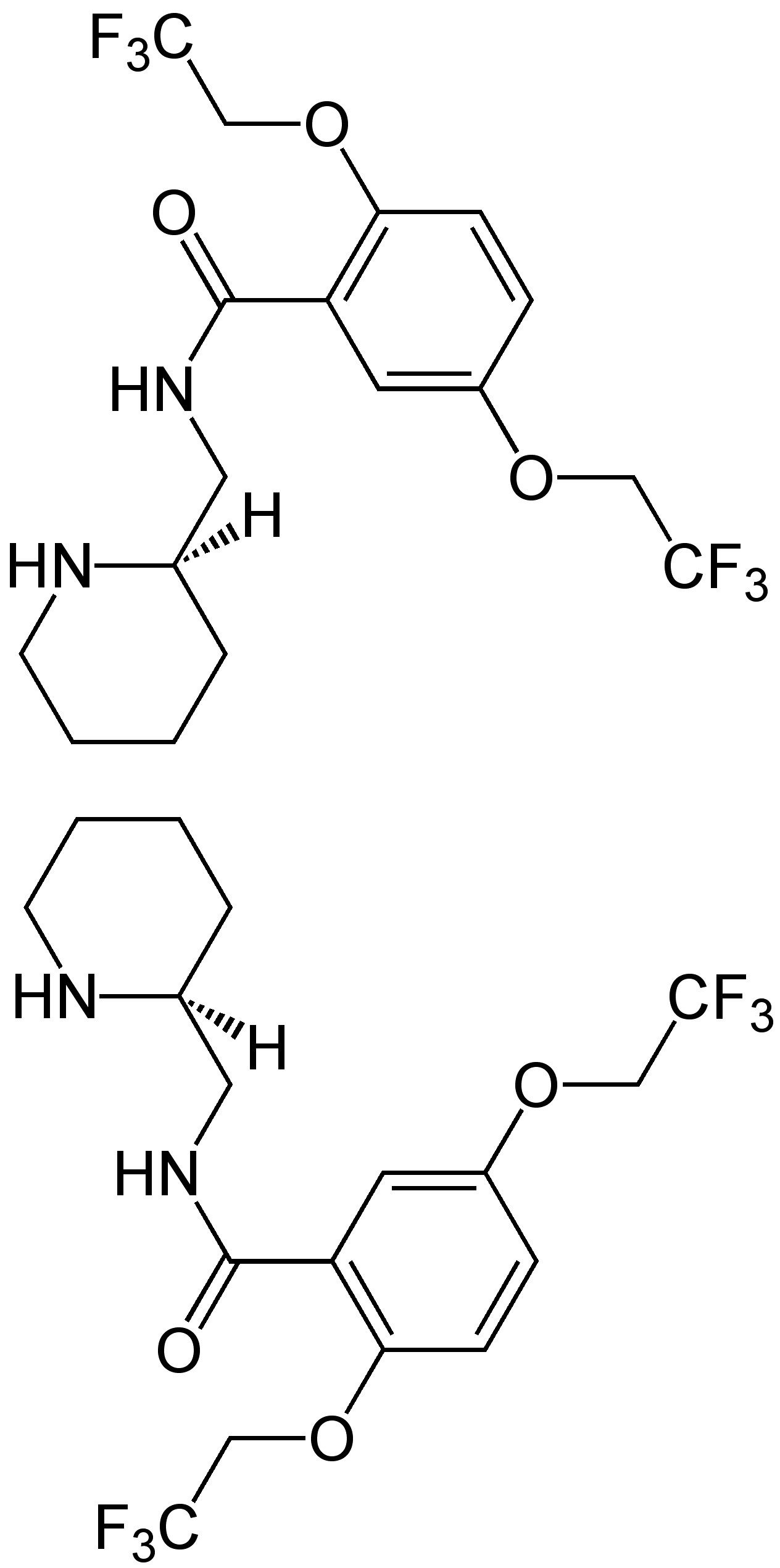
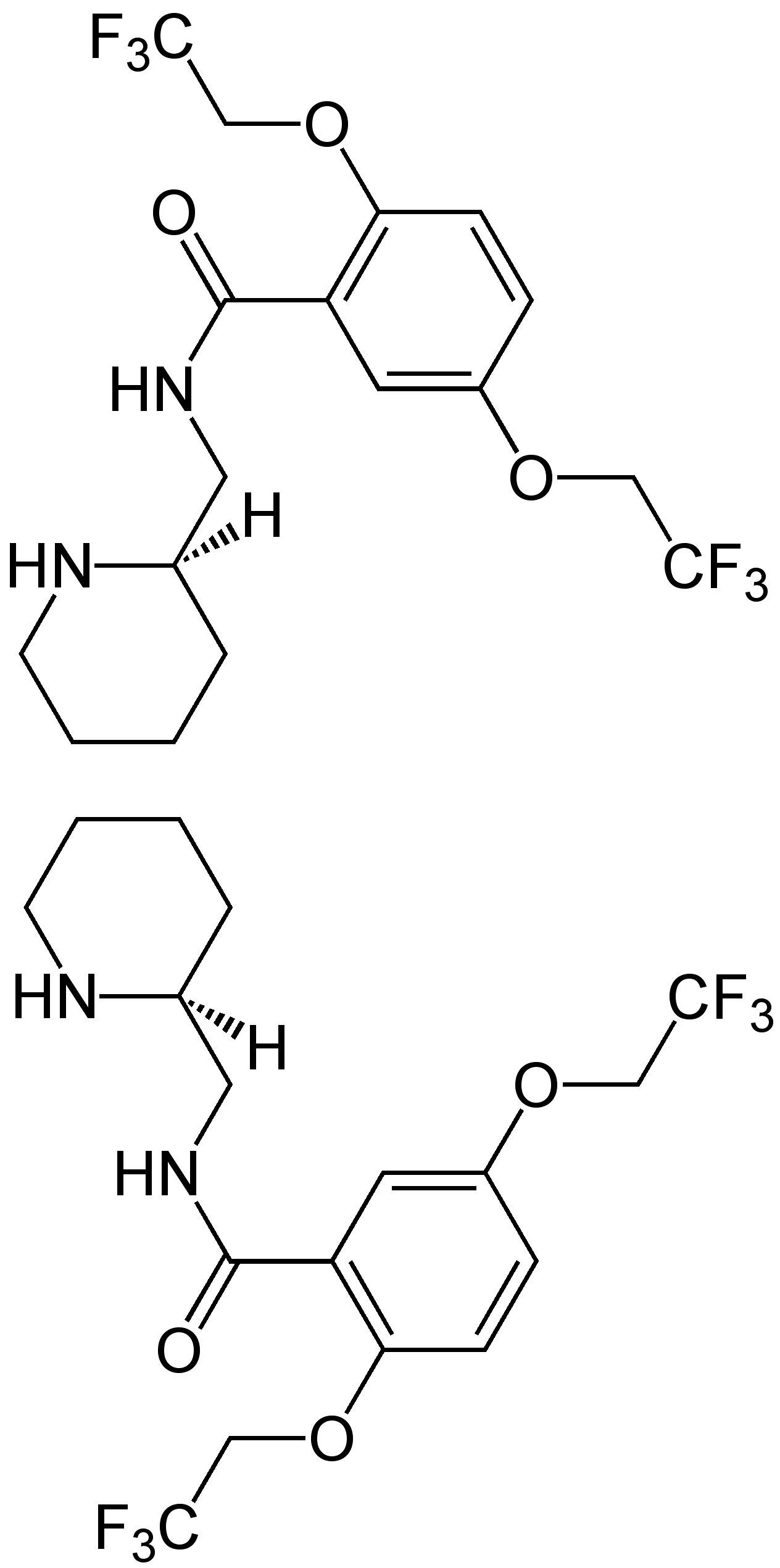
   Хімічна структура  

Розчин для перорального застосування
Стабільність фармацевтичних препаратів   Розчин для перорального застосування   Стабільність фармацевтичних препаратів : Flecainide acetate     
Контейнер Origine допоміжна речовина температура Зберігання Тривалість стабільності Список літератури
скло таблетки 400 mg
Apocard®
SyrSpend SF® >> 20 ml
25°C Не визначено
90 День
4198

скло таблетки 400 mg
Apocard®
SyrSpend SF® >> 20 ml
4°C Не визначено
90 День
4198

пластикова пляшка таблетки 2400 mg
?
OraPlus® / OraSweet® (1:1) >> 120 ml
25°C Берегти від світла
60 День
2433

пластикова пляшка таблетки 2400 mg
?
OraPlus® / OraSweet SF® (1:1) >> 120 ml
25°C Берегти від світла
60 День
2433

пластикова пляшка таблетки 2400 mg
?
Вишневий сироп >> 120 ml
25°C Берегти від світла
60 День
2433

пластикова пляшка таблетки 2400 mg
?
OraPlus® / OraSweet® (1:1) >> 120 ml
4°C Берегти від світла
60 День
2433

пластикова пляшка таблетки 2400 mg
?
OraPlus® / OraSweet SF® (1:1) >> 120 ml
4°C Берегти від світла
60 День
2433

пластикова пляшка таблетки 2400 mg
?
Вишневий сироп >> 120 ml
4°C Берегти від світла
60 День
2433


  Mentions Légales