Seneste opdatering :
27/11/2025
Antiarytmisk   Flecainide acetate  
Oral opløsning
Injektion
Stabilitet af farmaceutiske tilberedninger Stabilitet i blandinger Faktorer der påvirker stabiliteten Kompatibilitet Bibliografi pdf
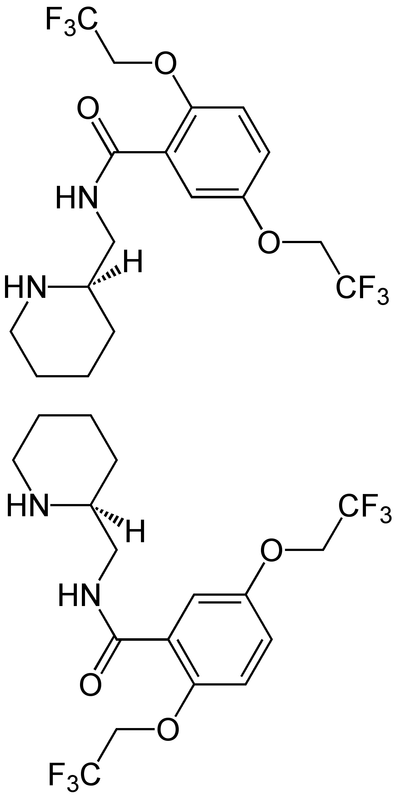
   Kemisk struktur  

Oral opløsning
Stabilitet af farmaceutiske tilberedninger   Oral opløsning   Stabilitet af farmaceutiske tilberedninger : Flecainide acetate     
Beholder Origine Hjælpestof Temperatur Konservering Varighed af stabilitet Bibliografi
Glas Tabletter 400 mg
Apocard®
SyrSpend SF® >> 20 ml
25°C Ikke nærmere angivet
90 Dag
4198

Glas Tabletter 400 mg
Apocard®
SyrSpend SF® >> 20 ml
4°C Ikke nærmere angivet
90 Dag
4198

Plastflaske Tabletter 2400 mg
?
OraPlus® / OraSweet® (1:1) >> 120 ml
25°C Beskyt mod lys
60 Dag
2433

Plastflaske Tabletter 2400 mg
?
OraPlus® / OraSweet SF® (1:1) >> 120 ml
25°C Beskyt mod lys
60 Dag
2433

Plastflaske Tabletter 2400 mg
?
Kirsebærsirup >> 120 ml
25°C Beskyt mod lys
60 Dag
2433

Plastflaske Tabletter 2400 mg
?
OraPlus® / OraSweet® (1:1) >> 120 ml
4°C Beskyt mod lys
60 Dag
2433

Plastflaske Tabletter 2400 mg
?
OraPlus® / OraSweet SF® (1:1) >> 120 ml
4°C Beskyt mod lys
60 Dag
2433

Plastflaske Tabletter 2400 mg
?
Kirsebærsirup >> 120 ml
4°C Beskyt mod lys
60 Dag
2433


  Mentions Légales