Siste oppdatering :
18/03/2026
Infostab
Lister
Sammendrag
Søk etter kompatibilitet
Y-side kompatibilitetstabell
Referanser
Forskerteamet
valistab
plakat
Tilkoblinger
sponsorer
Forfatter
Instruksjon
Nyhetsbrev
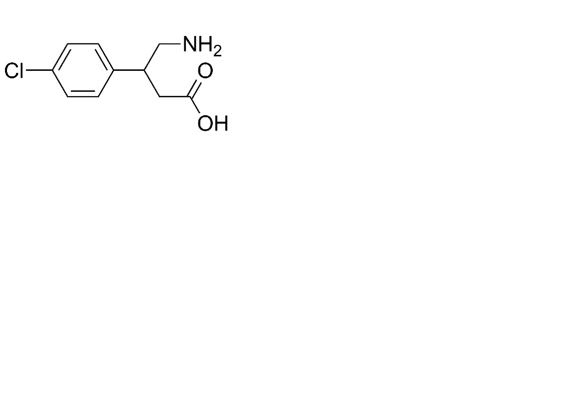
Baclofen
Kjemisk struktur
Referanser : Baclofen
Type
publikasjon
2433
Journal
Allen LV, Jr, Erickson MA,
Stability of baclofen, captopril, diltiazem hydrochloride, dipyridamole, and flecainide acetate in extemporaneously compounded oral liquids
Am J Health-Syst Pharm 1996 ; 53: 2179-2184.
2478
Journal
Johnson CE, Hart SM.
Stability of an extemporaneously compounded baclofen oral liquid
Am J Hosp Pharm 1993 ; 50: 2353-2355.
3999
Journal
De Oliveira Ferreira, Polonini H, Loures da Silva S, Buzinari Aglio N.C, Abreu J, Fernandes Brand?o M.A.
Stability of Acetazolamide, Baclofen, Dipyridamole, Mebeverine Hydrochloride, Propylthiouracil, Quinidine Sulfate, and Topiramate Oral Suspensions in SyrSpend SF PH4.
Int J Pharm Compound 2017 ; 21:4 :339-346
4177
Journal
Polonini H, Loures da Silva S, Fernandes Brandao M.A, Bauters T, De Moerloose B, De Oliveira Ferreira A.
Compatibility of Baclofen, Carvedilol, Hydrochlorothiazide, Mercaptopurine, Methadone Hydrochloride, Oseltamivir Phosphate, Phenobarbital, Propranolol Hydrochloride, Pyrazinamide, Sotalol Hydrochloride, Spironolactone, Tacrolimus Monohydrate, Ursodeoxycholic Acid, and Vancomycin Hydrochloride Oral Suspensions Compounded with SyrSpend SF PH4.
Int J Pharm Compound 2018 ;22,6:516-526
Mentions Légales