Τελευταία ενημέρωση :
18/03/2026
Λοιπά   Baclofen  
Πόσιμο διάλυμα
Αλοιφές Ενέσιμο
Σταθερότητα και συμβατότητα των φαρμάκων Σταθερότητα σε μίγματα Παράγοντας που επηρεάζει τη σταθερότητα Συμβατότητες Βιβλιογραφία pdf
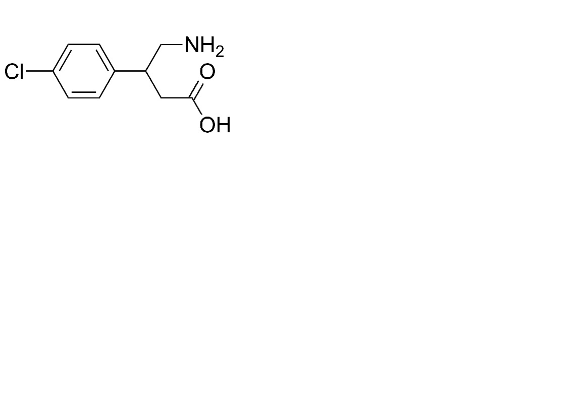
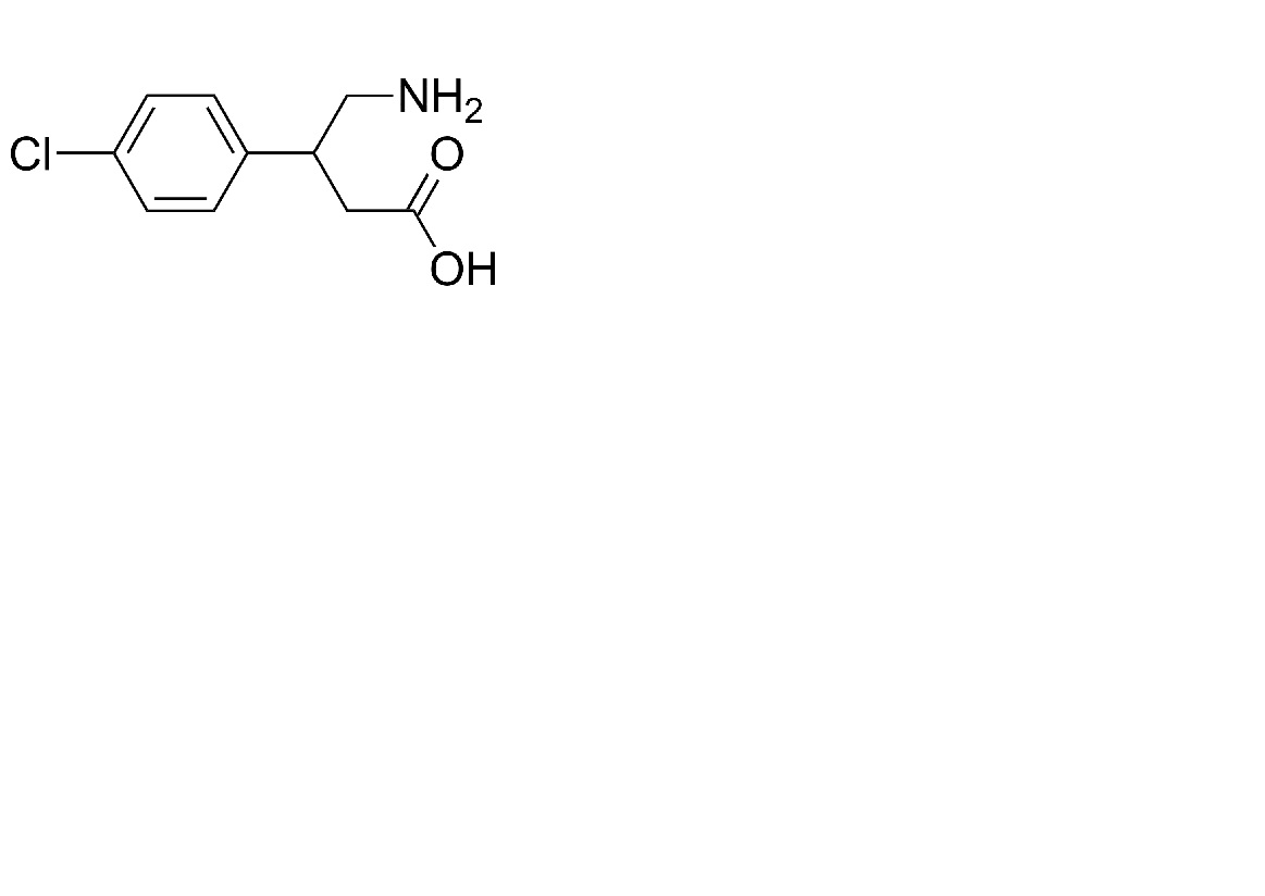
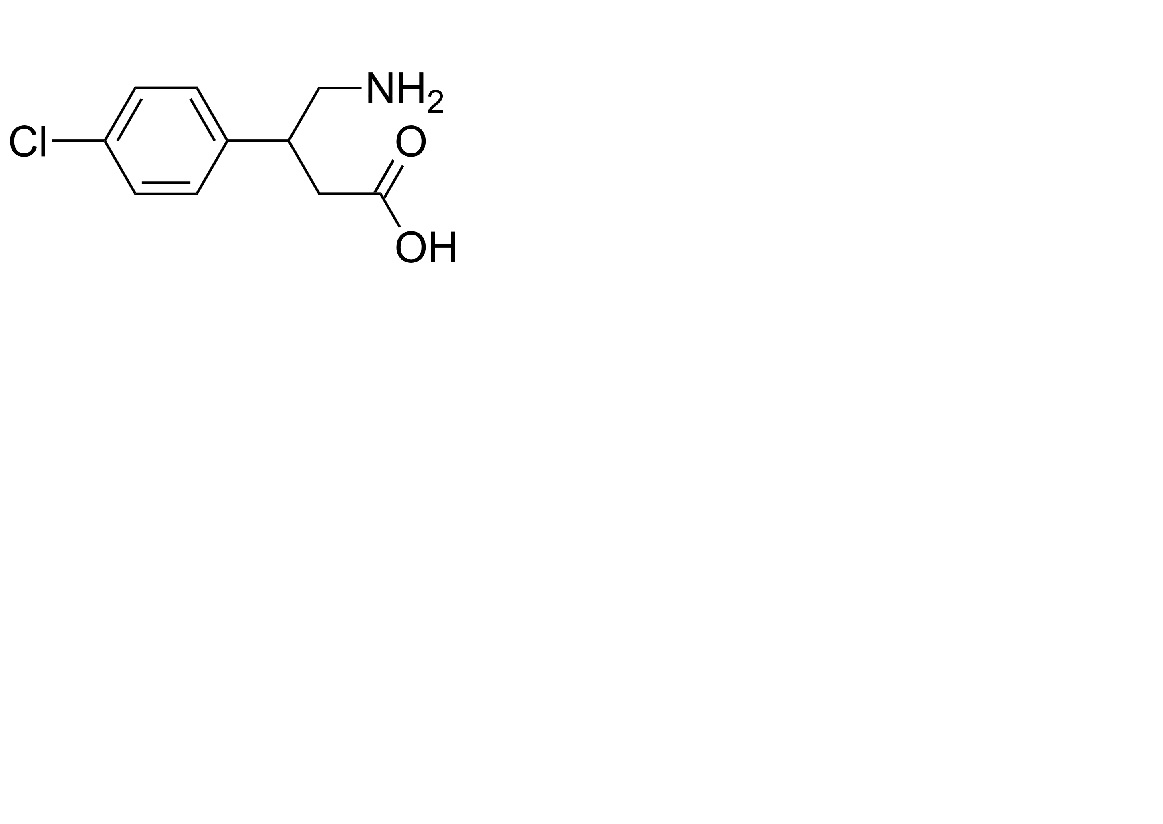
   χημική δομή  

Πόσιμο διάλυμα
Βιβλιογραφία   Πόσιμο διάλυμα   Βιβλιογραφία : Baclofen  
τύπος δημοσίευση
2433 εφημερίδα Allen LV, Jr, Erickson MA,
Stability of baclofen, captopril, diltiazem hydrochloride, dipyridamole, and flecainide acetate in extemporaneously compounded oral liquids
Am J Health-Syst Pharm 1996 ; 53: 2179-2184.
2478 εφημερίδα Johnson CE, Hart SM.
Stability of an extemporaneously compounded baclofen oral liquid
Am J Hosp Pharm 1993 ; 50: 2353-2355.
3999 εφημερίδα De Oliveira Ferreira, Polonini H, Loures da Silva S, Buzinari Aglio N.C, Abreu J, Fernandes Brand?o M.A.
Stability of Acetazolamide, Baclofen, Dipyridamole, Mebeverine Hydrochloride, Propylthiouracil, Quinidine Sulfate, and Topiramate Oral Suspensions in SyrSpend SF PH4.
Int J Pharm Compound 2017 ; 21:4 :339-346
4177 εφημερίδα Polonini H, Loures da Silva S, Fernandes Brandao M.A, Bauters T, De Moerloose B, De Oliveira Ferreira A.
Compatibility of Baclofen, Carvedilol, Hydrochlorothiazide, Mercaptopurine, Methadone Hydrochloride, Oseltamivir Phosphate, Phenobarbital, Propranolol Hydrochloride, Pyrazinamide, Sotalol Hydrochloride, Spironolactone, Tacrolimus Monohydrate, Ursodeoxycholic Acid, and Vancomycin Hydrochloride Oral Suspensions Compounded with SyrSpend SF PH4.
Int J Pharm Compound 2018 ;22,6:516-526

  Mentions Légales