Last update :
18/03/2026
Infostab
List of drugs
Summary lists
Search for compatibilities
Y-site compatibility table
References
Research teams
valistab
Poster
Links
Sponsors
Authors
User’s guide
Newsletter
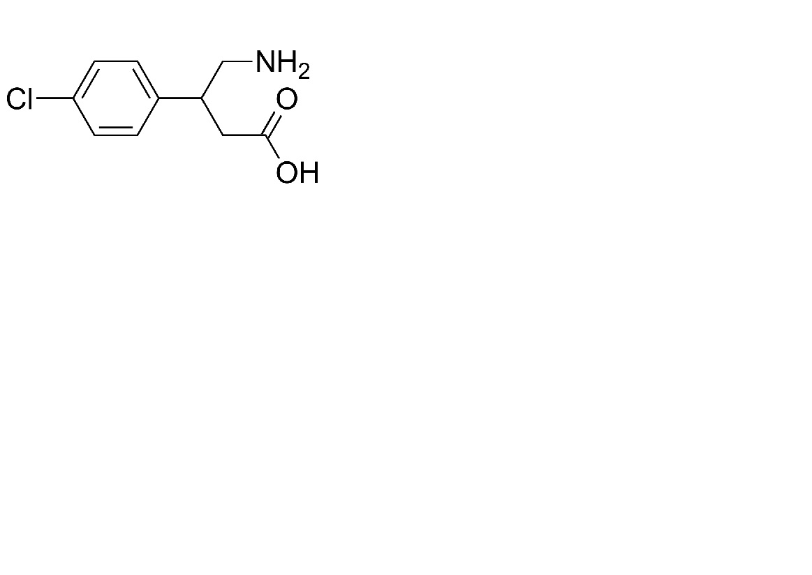
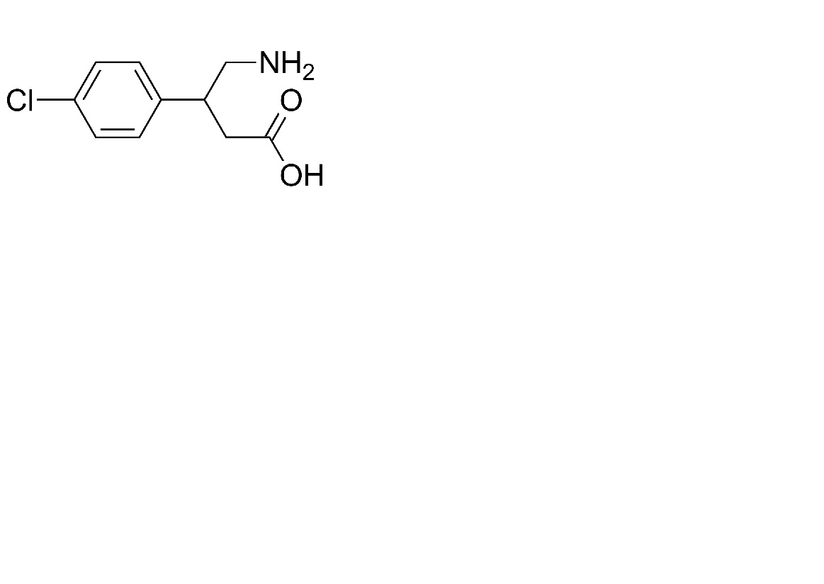
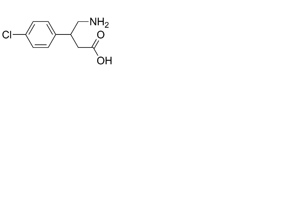
Baclofen
Chemical structure
References : Baclofen
Type
Publication
2433
Journal
Allen LV, Jr, Erickson MA,
Stability of baclofen, captopril, diltiazem hydrochloride, dipyridamole, and flecainide acetate in extemporaneously compounded oral liquids
Am J Health-Syst Pharm 1996 ; 53: 2179-2184.
2478
Journal
Johnson CE, Hart SM.
Stability of an extemporaneously compounded baclofen oral liquid
Am J Hosp Pharm 1993 ; 50: 2353-2355.
3999
Journal
De Oliveira Ferreira, Polonini H, Loures da Silva S, Buzinari Aglio N.C, Abreu J, Fernandes Brand?o M.A.
Stability of Acetazolamide, Baclofen, Dipyridamole, Mebeverine Hydrochloride, Propylthiouracil, Quinidine Sulfate, and Topiramate Oral Suspensions in SyrSpend SF PH4.
Int J Pharm Compound 2017 ; 21:4 :339-346
4177
Journal
Polonini H, Loures da Silva S, Fernandes Brandao M.A, Bauters T, De Moerloose B, De Oliveira Ferreira A.
Compatibility of Baclofen, Carvedilol, Hydrochlorothiazide, Mercaptopurine, Methadone Hydrochloride, Oseltamivir Phosphate, Phenobarbital, Propranolol Hydrochloride, Pyrazinamide, Sotalol Hydrochloride, Spironolactone, Tacrolimus Monohydrate, Ursodeoxycholic Acid, and Vancomycin Hydrochloride Oral Suspensions Compounded with SyrSpend SF PH4.
Int J Pharm Compound 2018 ;22,6:516-526
Mentions Légales