Последнее обновление :
18/03/2026
Антигипертензивное средство   Enalapril maleate  
Раствор для перорального приёма
Стабильность фармацевтических препаратов Стабильность смесей Факторы, которые влияют на стабильность Совместимость Библиография pdf
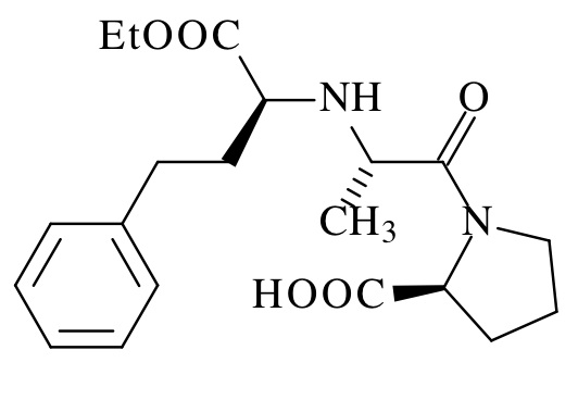
   Химическая структура  

Раствор для перорального приёма
Стабильность фармацевтических препаратов   Раствор для перорального приёма   Стабильность фармацевтических препаратов : Enalapril maleate     
Упаковка Origine Наполнитель Температура Хранение Продолжительность стабильности Ссылки
Стекло Порошок 30 mg
® = ?
Лимонная кислота 177 mg
Соляная кислота 0,1M 12,3 mL
NaOH 0,1M 1,7 mL
Очищенная вода 8,5 mL
Простой сироп >> 30 mL
2-8°C Не указано
50 День
4097

Стекло Порошок 30 mg
® = ?
Полисорбат 80 32 µl
Oral Mix® >> 30 ml
23-27°C Не указано
90 День
3921

Стекло Таблетки 30 mg
Vasotec®
Полисорбат 80 32 µl
Oral Mix® >> 30 ml
23-27°C Не указано
90 День
3921

Стекло Порошок 30 mg
® = ?
Лимонная кислота 177 mg
Соляная кислота 0,1M 12,3 mL
NaOH 0,1M 1,7 mL
Очищенная вода 8,5 mL
Простой сироп >> 30 mL
23-27°C Не указано
50 День
4097

Стекло Порошок 30 mg
® = ?
Полисорбат 80 32 µl
Oral Mix® >> 30 ml
3-7°C Не указано
90 День
3921

Стекло Таблетки 30 mg
Vasotec®
Полисорбат 80 32 µl
Oral Mix® >> 30 ml
3-7°C Не указано
90 День
3921

Пластиковая бутылка Порошок 150 mg
® = ? (Fagron)
SyrSpend SF PH4® >> 150 ml
2-8°C Защищён от света
90 День
3857

Пластиковая бутылка Порошок 150 mg
® = ? (Fagron)
SyrSpend SF PH4® >> 150 ml
20-25°C Защищён от света
90 День
3857

Пластиковая бутылка Таблетки 60 mg
Enalapril Merck®
OraPlus® / OraSweet® (1:1) >>60ml
25°C Не указано
91 День
2425

Пластиковая бутылка Таблетки 120 mg
®=? (Merck Sharm Dohme)
OraPlus® / OraSweet® (1:1) >> 120 ml
25°C Защищён от света
60 День
2422

Пластиковая бутылка Таблетки 120 mg
®=? (Merck Sharm Dohme)
OraPlus® / OraSweet SF® (1:1) >> 120 ml
25°C Защищён от света
60 День
2422

Пластиковая бутылка Таблетки 120 mg
®=? (Merck Sharm Dohme)
Вишневый сироп >> 120 ml
25°C Защищён от света
60 День
2422

Пластиковая бутылка Порошок 50 mg
® = USP
Suspendit® >> 100 ml
25°C Защищён от света
60 День
4905
Пластиковая бутылка Таблетки 60 mg
Enalapril Merck®
OraPlus® / OraSweet® (1:1) >>60ml
4°C Не указано
91 День
2425

Пластиковая бутылка Таблетки 60 mg
Enalapril Merck®
Очищенная вода >>60ml
4°C Не указано
91 День
2425

Пластиковая бутылка Таблетки 2 mg
Renitec®
Цитратный буфер pH 5 >> 20 ml
4°C Защищён от света
30 День
2561

Пластиковая бутылка Таблетки 20 mg
Renitec®
Цитратный буфер pH 5 >> 20 ml
4°C Защищён от света
30 День
2561

Пластиковая бутылка Таблетки 120 mg
®=? (Merck Sharm Dohme)
OraPlus® / OraSweet® (1:1) >> 120 ml
5°C Защищён от света
60 День
2422

Пластиковая бутылка Таблетки 120 mg
®=? (Merck Sharm Dohme)
OraPlus® / OraSweet SF® (1:1) >> 120 ml
5°C Защищён от света
60 День
2422

Пластиковая бутылка Таблетки 120 mg
®=? (Merck Sharm Dohme)
Вишневый сироп >> 120 ml
5°C Защищён от света
60 День
2422

Пластиковая бутылка Порошок 50 mg
® = USP
Suspendit® >> 100 ml
5°C Защищён от света
180 День
4905
Шприц Порошок 1 mg
® = ?
Полисорбат 80 1,08 µl
Oral Mix® >> 1 ml
23-27°C Не указано
90 День
3921

Шприц Таблетки 1 mg
Vasotec®
Полисорбат 80 1,08 µl
Oral Mix® >> 1 ml
23-27°C Не указано
90 День
3921

Шприц Порошок 1 mg
® = ?
Полисорбат 80 1,08 µl
Oral Mix® >> 1 ml
3-7°C Не указано
90 День
3921

Шприц Таблетки 1 mg
Vasotec®
Полисорбат 80 1,08 µl
Oral Mix® >> 1 ml
3-7°C Не указано
90 День
3921


  Mentions Légales