Ostatnia aktualizacja :
05/12/2025
Lek przeciwnadciśnieniowy   Enalapril maleate  
Roztwór doustny
Stabilność preparatów farmaceutycznych Trwałość w mieszaninie Czynnik wpływający na trwałość Zgodność Bibliografia pdf
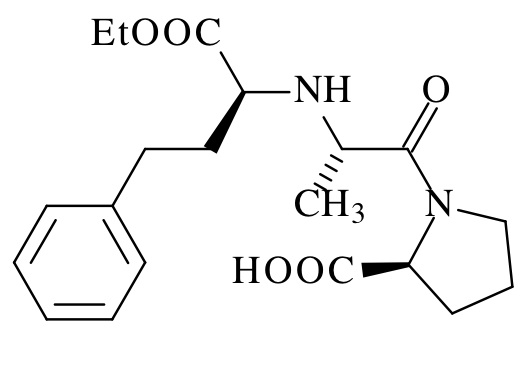
   Struktura chemiczna  

Roztwór doustny
Stabilność preparatów farmaceutycznych   Roztwór doustny   Stabilność preparatów farmaceutycznych : Enalapril maleate     
Pojemnik Origine Substancja pomocniczna Temperatura Przechowywanie Czas trwania stabilności Bibliografia
Szkło Proszek 30 mg
® = ?
kwas cytrynowy 177 mg
kwas chlorowodorowy 0,1M 12,3 mL
NaOH 0,1M 1,7 mL
Woda oczyszczona 8,5 mL
Syrop prosty >> 30 mL
2-8°C Nie wyszczególniony
50 Dzień
4097

Szkło Proszek 30 mg
® = ?
polisorbat 80 32 µl
Oral Mix® >> 30 ml
23-27°C Nie wyszczególniony
90 Dzień
3921

Szkło Tabletki 30 mg
Vasotec®
polisorbat 80 32 µl
Oral Mix® >> 30 ml
23-27°C Nie wyszczególniony
90 Dzień
3921

Szkło Proszek 30 mg
® = ?
kwas cytrynowy 177 mg
kwas chlorowodorowy 0,1M 12,3 mL
NaOH 0,1M 1,7 mL
Woda oczyszczona 8,5 mL
Syrop prosty >> 30 mL
23-27°C Nie wyszczególniony
50 Dzień
4097

Szkło Proszek 30 mg
® = ?
polisorbat 80 32 µl
Oral Mix® >> 30 ml
3-7°C Nie wyszczególniony
90 Dzień
3921

Szkło Tabletki 30 mg
Vasotec®
polisorbat 80 32 µl
Oral Mix® >> 30 ml
3-7°C Nie wyszczególniony
90 Dzień
3921

Butelka plastikowa Proszek 150 mg
® = ? (Fagron)
SyrSpend SF PH4® >> 150 ml
2-8°C Chronić od światła
90 Dzień
3857

Butelka plastikowa Proszek 150 mg
® = ? (Fagron)
SyrSpend SF PH4® >> 150 ml
20-25°C Chronić od światła
90 Dzień
3857

Butelka plastikowa Tabletki 60 mg
Enalapril Merck®
OraPlus® / OraSweet® (1:1) >>60ml
25°C Nie wyszczególniony
91 Dzień
2425

Butelka plastikowa Tabletki 120 mg
®=? (Merck Sharm Dohme)
OraPlus® / OraSweet® (1:1) >> 120 ml
25°C Chronić od światła
60 Dzień
2422

Butelka plastikowa Tabletki 120 mg
®=? (Merck Sharm Dohme)
OraPlus® / OraSweet SF® (1:1) >> 120 ml
25°C Chronić od światła
60 Dzień
2422

Butelka plastikowa Tabletki 120 mg
®=? (Merck Sharm Dohme)
Syrop wiśniowy >> 120 ml
25°C Chronić od światła
60 Dzień
2422

Butelka plastikowa Proszek 50 mg
® = USP
Suspendit® >> 100 ml
25°C Chronić od światła
60 Dzień
4905
Butelka plastikowa Tabletki 60 mg
Enalapril Merck®
OraPlus® / OraSweet® (1:1) >>60ml
4°C Nie wyszczególniony
91 Dzień
2425

Butelka plastikowa Tabletki 60 mg
Enalapril Merck®
Woda oczyszczona >>60ml
4°C Nie wyszczególniony
91 Dzień
2425

Butelka plastikowa Tabletki 2 mg
Renitec®
Bufor cytrynianowy pH 5 >> 20 ml
4°C Chronić od światła
30 Dzień
2561

Butelka plastikowa Tabletki 20 mg
Renitec®
Bufor cytrynianowy pH 5 >> 20 ml
4°C Chronić od światła
30 Dzień
2561

Butelka plastikowa Tabletki 120 mg
®=? (Merck Sharm Dohme)
OraPlus® / OraSweet® (1:1) >> 120 ml
5°C Chronić od światła
60 Dzień
2422

Butelka plastikowa Tabletki 120 mg
®=? (Merck Sharm Dohme)
OraPlus® / OraSweet SF® (1:1) >> 120 ml
5°C Chronić od światła
60 Dzień
2422

Butelka plastikowa Tabletki 120 mg
®=? (Merck Sharm Dohme)
Syrop wiśniowy >> 120 ml
5°C Chronić od światła
60 Dzień
2422

Butelka plastikowa Proszek 50 mg
® = USP
Suspendit® >> 100 ml
5°C Chronić od światła
180 Dzień
4905
Strzykawka Proszek 1 mg
® = ?
polisorbat 80 1,08 µl
Oral Mix® >> 1 ml
23-27°C Nie wyszczególniony
90 Dzień
3921

Strzykawka Tabletki 1 mg
Vasotec®
polisorbat 80 1,08 µl
Oral Mix® >> 1 ml
23-27°C Nie wyszczególniony
90 Dzień
3921

Strzykawka Proszek 1 mg
® = ?
polisorbat 80 1,08 µl
Oral Mix® >> 1 ml
3-7°C Nie wyszczególniony
90 Dzień
3921

Strzykawka Tabletki 1 mg
Vasotec®
polisorbat 80 1,08 µl
Oral Mix® >> 1 ml
3-7°C Nie wyszczególniony
90 Dzień
3921


  Mentions Légales