Poslední aktualizace :
27/11/2025
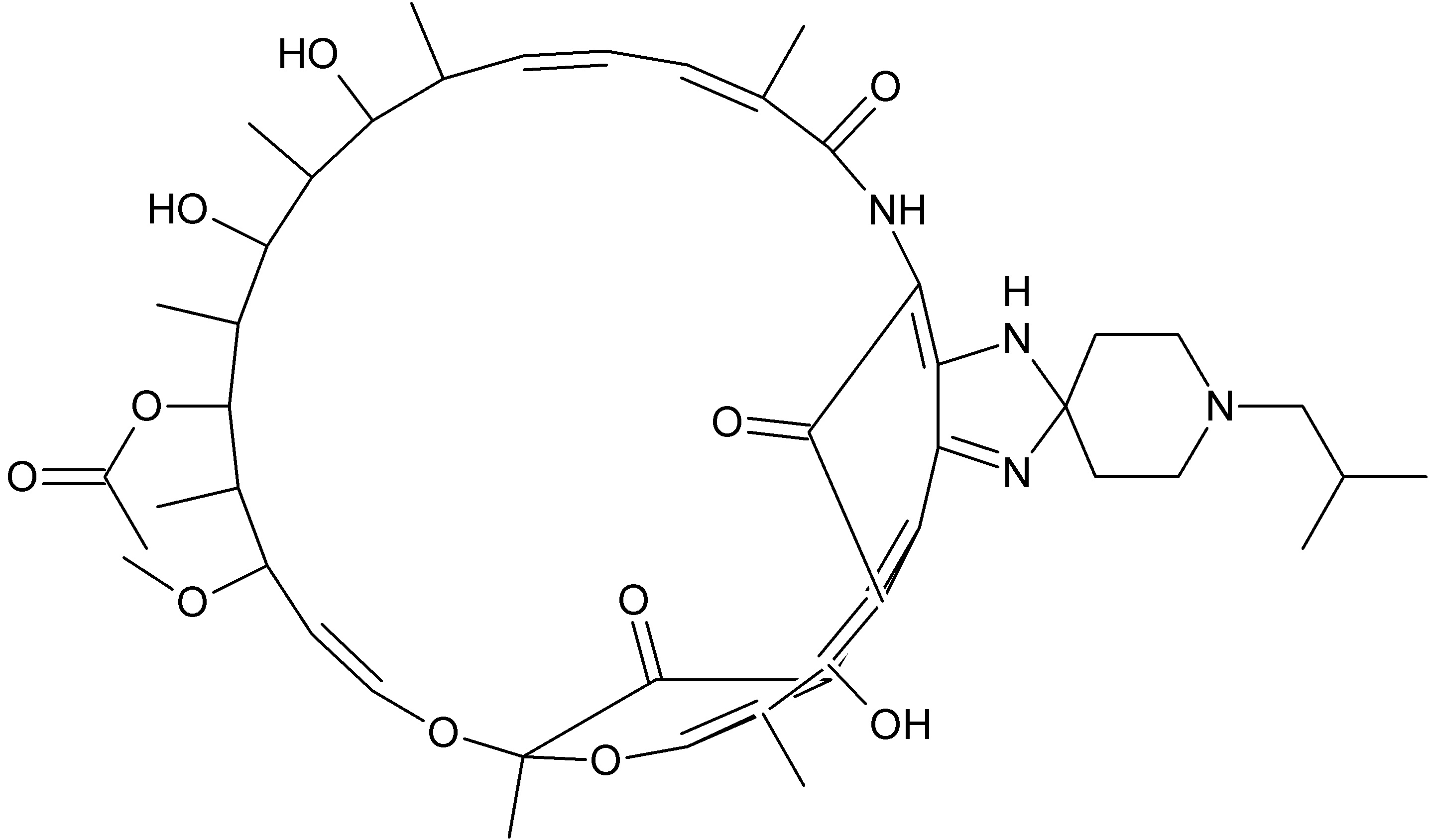
Antibiotikas   Rifabutin  
Geriamas tirpalas
Stabilumas farmacinių preparatų Mišinių stabilumas Stabilumą lemiantys veiksniai Suderinamumas Bibliografija pdf
   Cheminė sandara  

Geriamas tirpalas
Bibliografija   Geriamas tirpalas   Bibliografija : Rifabutin  
tipas leidinys
2419 Žurnalas Haslam JL, Egodage KL, Chen Y, Rajewski RA, Stella V.
Stability of rifabutin in two extemporaneously compounded oral liquids
Am J Health-Syst Pharm 1999 ; 56: 333-336.

  Mentions Légales