viimane versioon :
18/03/2026
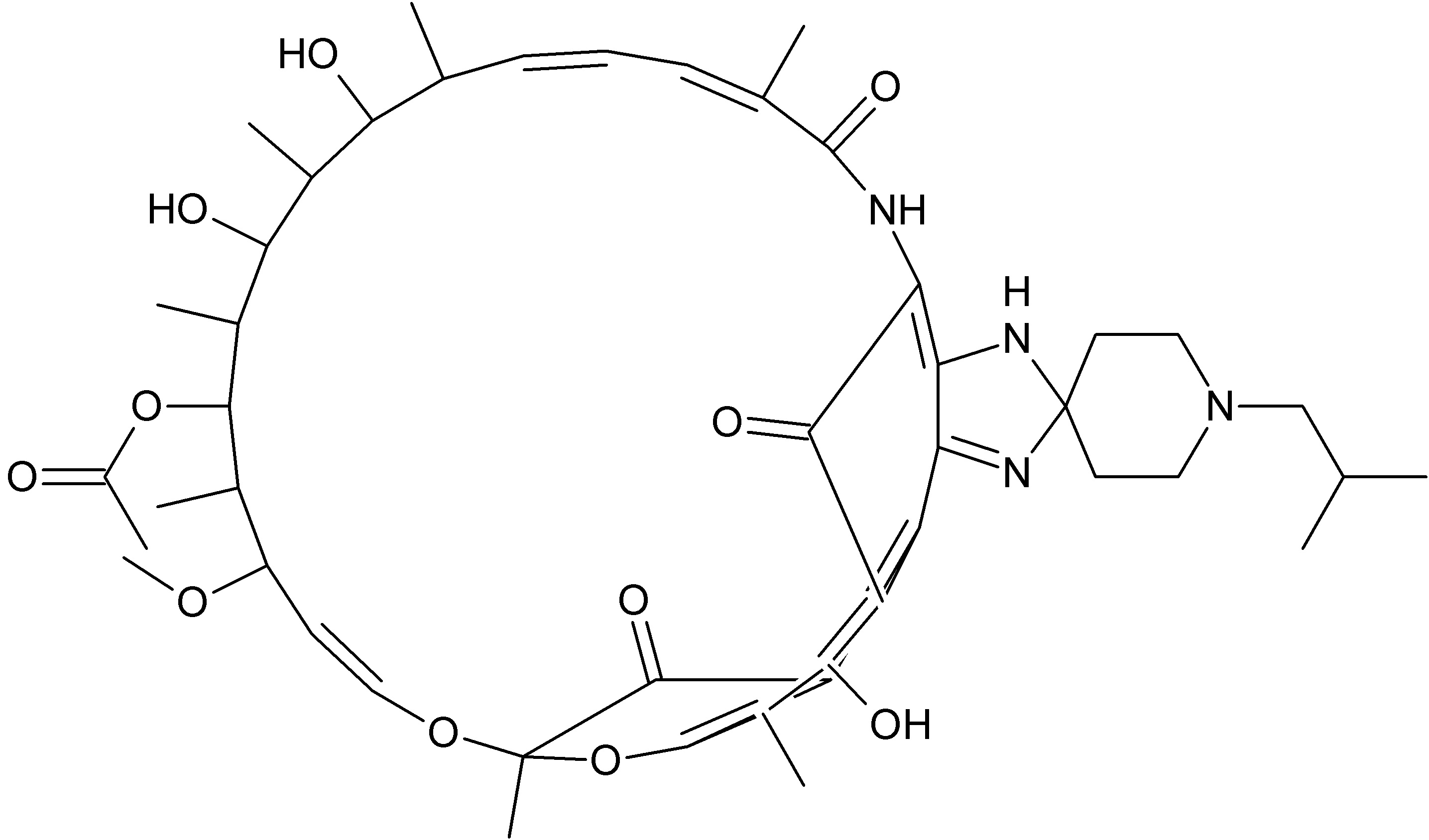
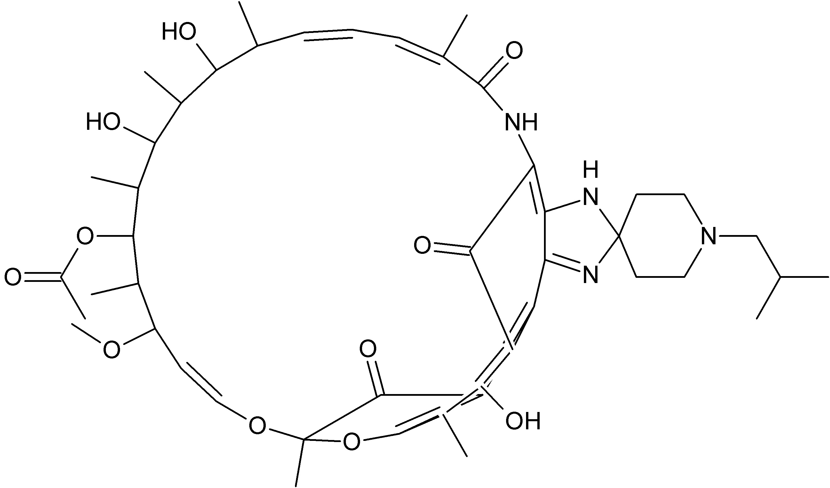
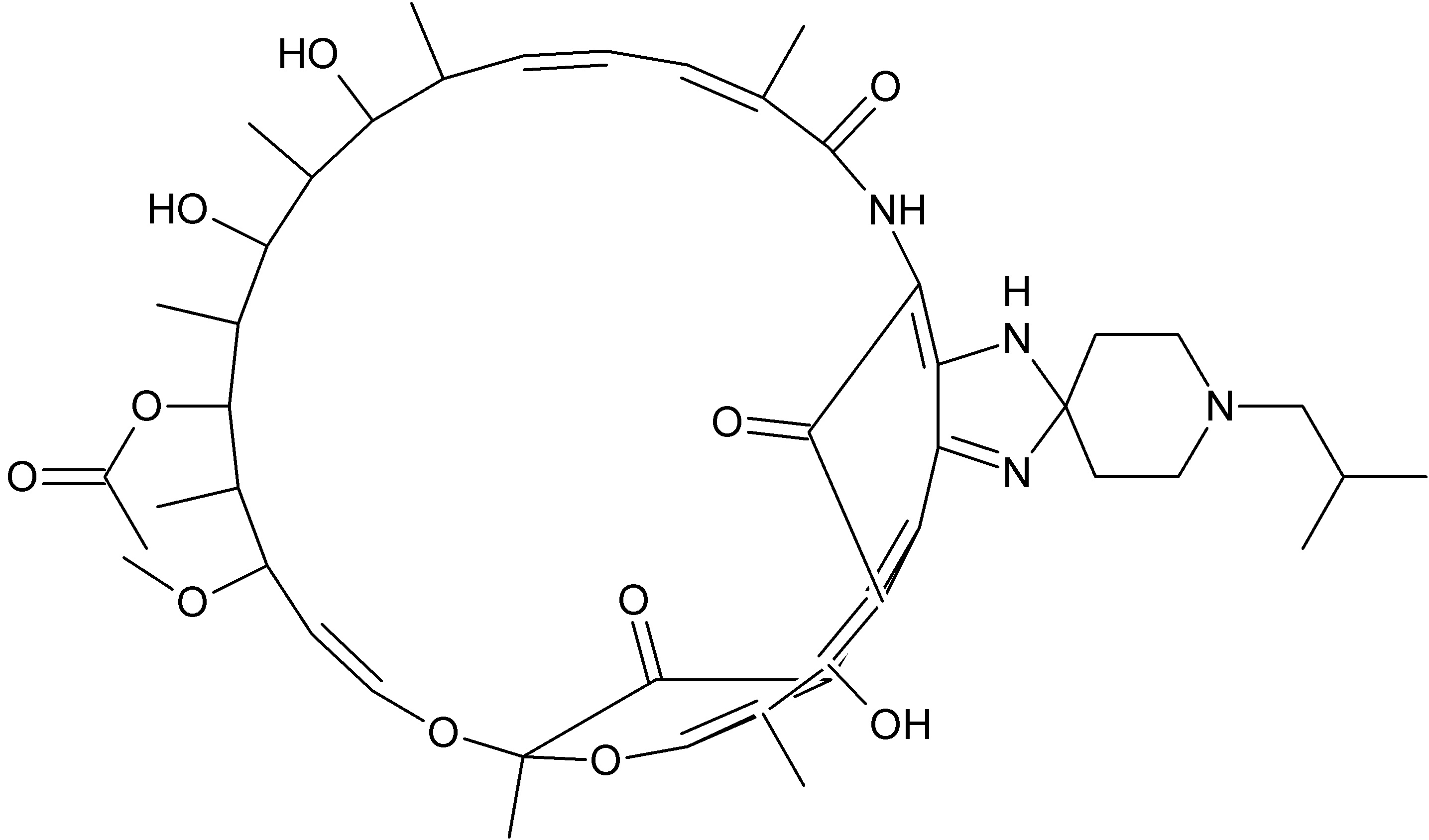
antibiootikum   Rifabutin  
suukaudne lahus
Stabiilsust ravimpreparaadid Stabiilsust mõjutavad tegurid stabiilsust mõjutavad faktorid Sobimatus Viited pdf
   keemiline struktuur  

suukaudne lahus
Viited   suukaudne lahus   Viited : Rifabutin  
tüüp avaldamine
2419 ajaleht Haslam JL, Egodage KL, Chen Y, Rajewski RA, Stella V.
Stability of rifabutin in two extemporaneously compounded oral liquids
Am J Health-Syst Pharm 1999 ; 56: 333-336.

  Mentions Légales