Letztes “update” :
27/11/2025
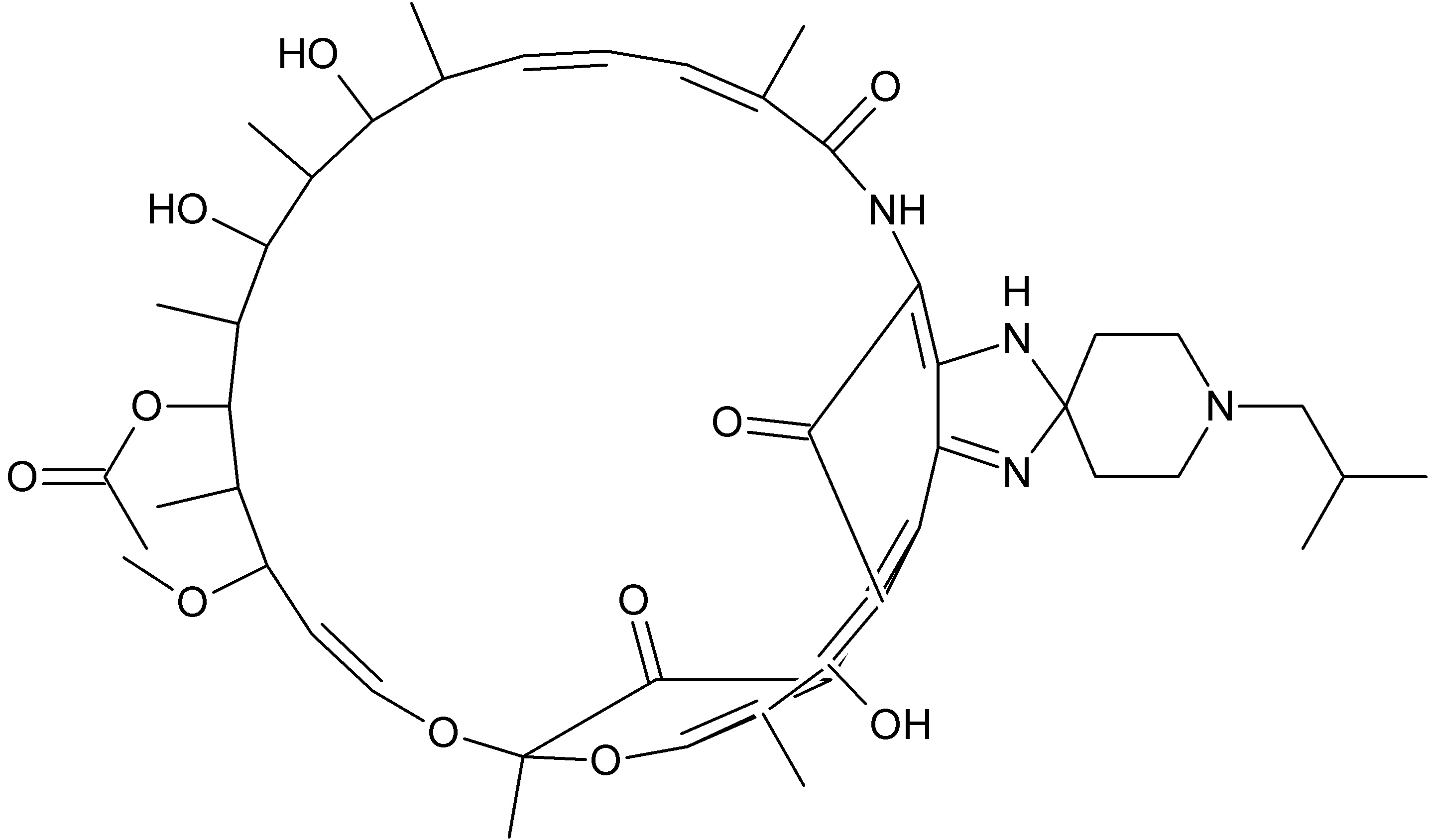
Antibiotikum   Rifabutin  
Lösung zum Einnehmen
Stabilität von pharmazeutischen Präparaten Gemengestabilität Stabilitätbeeinflussende Faktoren Kompatibilitäten Literaturverzeichnis pdf
   Chemische Struktur  

Lösung zum Einnehmen
Literaturverzeichnis   Lösung zum Einnehmen   Literaturverzeichnis : Rifabutin  
Typ Veröffentlichung
2419 Zeitung Haslam JL, Egodage KL, Chen Y, Rajewski RA, Stella V.
Stability of rifabutin in two extemporaneously compounded oral liquids
Am J Health-Syst Pharm 1999 ; 56: 333-336.

  Mentions Légales