Senaste uppdateringen :
05/12/2025
cancerläkemedel   Azacitidine  
injektion
Lösningars stabilitet Stabilitet i blandningar Faktorer som påverkar stabiliteten Kompatibilitet Administreringssätt Hänvisningar pdf
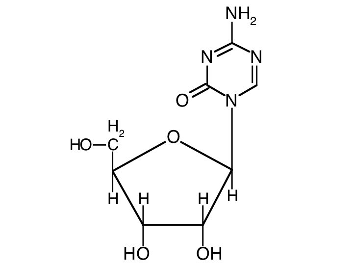
   Molekylstruktur  

Varunamn   Varunamn     

Angivna handelsnamn på läkemedel är enbart vägledande då formulering inklusive hjälpämnen kan variera mellan länder och tillverkare

Amilix Argentina
Arquimes Argentina
Azacimyl Chile
Azacitidina Argentina, Chile, Peru
Azacitidine Förenta Staterna, Tyskland
Azacor Peru
Azadin Turkiet
Azamex Argentina
Azanova Argentina
Azateva Argentina
Azida Turkiet
Azitech Argentina
Citofin Argentina
Iclacitidina Peru
Iterbil Argentina
Maturus Argentina
Mietozitidina Argentina, Peru
Nimodac Argentina
Remitiva Chile
Tazadir Argentina
Vidaza Argentina, Australien, Belgien, Brasilien, Chile, Colombia, Finland, Förenta Staterna, Frankrike, Island, Italien, Japan, Kanada, Kroatien, Luxemburg, Malaysia, Mexiko, Norge, nya Zeeland, Peru, Rumänien, Schweiz, Slovenien, Spanien, Storbritannien, Sverige, Tunisien, Turkiet, Tyskland, Ungern
Zacidonel Mexiko
Zylatadina Argentina
Stabilitet i blandningar   injektion   Stabilitet i blandningar : Azacitidine     
Ingen uppgift

  Mentions Légales