Viimeisin päivitys :
18/03/2026
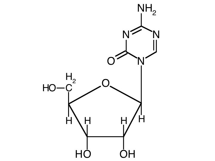
syöpälääke   Azacitidine  
Injektioneste
Stabilius liuoksessa Stabilius seoksissa Tekijät, jotka vaikuttavat stabiliuteen Yhteensopivuus Antotapa Viitteet pdf
   Kemiallinen rakenne  

Kauppanimi   Kauppanimi     

Trade names are indicative and excipients composition can be different depending on the country and manufacturers

Amilix Argentiina
Arquimes Argentiina
Azacimyl Chile
Azacitidina Argentiina, Chile, Marokko
Azacitidine Saksa, Yhdysvallat
Azacor Marokko
Azadin Turkki
Azamex Argentiina
Azanova Argentiina
Azateva Argentiina
Azida Turkki
Azitech Argentiina
Citofin Argentiina
Iclacitidina Marokko
Iterbil Argentiina
Maturus Argentiina
Mietozitidina Argentiina, Marokko
Nimodac Argentiina
Remitiva Chile
Tazadir Argentiina
Vidaza Argentiina, Australia, Belgia, Brasilia, Chile, Espanja, Islanti, Iso-Britannia, Italia, Japani, Kanada, Kolumbia, Kroatia, Luxemburg, Malesia, Marokko, Meksiko, New Zealand, Norja, Ranska, Romania, Ruotsi, Saksa, Slovenia, Suomi, Sveitsi, Tunisia, Turkki, Unkari, Yhdysvallat
Zacidonel Meksiko
Zylatadina Argentiina
Stabilius seoksissa   Injektioneste   Stabilius seoksissa : Azacitidine     
ei tietoa

  Mentions Légales