Poslední aktualizace :
18/03/2026
vėžio narkotikų   Azacitidine  
Įpurškimas
Tirpalų stabilumas Mišinių stabilumas Stabilumą lemiantys veiksniai Suderinamumas Leidimo būdai Bibliografija pdf
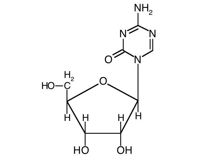
   Cheminė sandara  

Prekinis pavadinimas   Prekinis pavadinimas     

Trade names are indicative and excipients composition can be different depending on the country and manufacturers

Amilix Argentina
Arquimes Argentina
Azacimyl Čilė
Azacitidina Argentina, Čilė, Peru
Azacitidine Jungtinės Amerikos Valstijos, Vokietija
Azacor Peru
Azadin Turkija
Azamex Argentina
Azanova Argentina
Azateva Argentina
Azida Turkija
Azitech Argentina
Citofin Argentina
Iclacitidina Peru
Iterbil Argentina
Maturus Argentina
Mietozitidina Argentina, Peru
Nimodac Argentina
Remitiva Čilė
Tazadir Argentina
Vidaza Argentina, Australija, Belgija, Brazilija, Čilė, Didžioji Britanija, Islandija, Ispanija, Italija, Japonija, Jungtinės Amerikos Valstijos, Kanada, Kolumbija, Kroatija, Liuksemburgas, Malaizija, Meksikas, Naujojoje Zelandijoje, Norvegija, Peru, Prancūzija, Rumunija, Slovėnija, Suomija, Švedija, Šveicarija, Tunisas, Turkija, Vengrija, Vokietija
Zacidonel Meksikas
Zylatadina Argentina
Mišinių stabilumas   Įpurškimas   Mišinių stabilumas : Azacitidine     
Nėra duomenų

  Mentions Légales