Última actualización :
18/03/2026
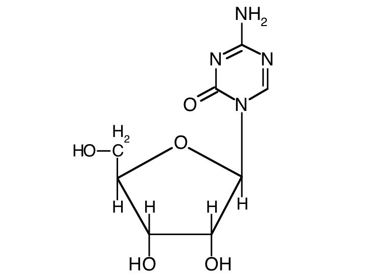
fármacos contra el cáncer   Azacitidine  
Inyectables
Estabilidad en solucion Estabilidad en mezcla Factores que influyen sobre la estabilidad Compatibilidades método de inyección Bibliografía pdf
   Estructura química  

Nombre comercial   Nombre comercial     

Los nombres comerciales son orientativos y los excipientes de la formulación pueden ser distintos dependiendo del país y del laboratorio fabricante.

Amilix Argentina
Arquimes Argentina
Azacimyl Chile
Azacitidina Argentina, Chile, Marruecos
Azacitidine Alemania, Estados Unidos de América
Azacor Marruecos
Azadin Turquía
Azamex Argentina
Azanova Argentina
Azateva Argentina
Azida Turquía
Azitech Argentina
Citofin Argentina
Iclacitidina Marruecos
Iterbil Argentina
Maturus Argentina
Mietozitidina Argentina, Marruecos
Nimodac Argentina
Remitiva Chile
Tazadir Argentina
Vidaza Alemania, Argentina, Australia, Bélgica, Brasil, Canadá, Chile, Colombia, Croacia, Eslovenia, España, Estados Unidos de América, Finlandia, Francia, Gran Bretaña, Hungría, Islandia, Italia, Japón, Luxemburgo, Malasia, Marruecos, México, Noruega, Nueva Zelanda, Rumania, Suecia, Suiza, Túnez, Turquía
Zacidonel México
Zylatadina Argentina
método de inyección   método de inyección :Azacitidine     
Voie
Perfusión intravenosa
Subcutánea

  Mentions Légales