Siste oppdatering :
18/03/2026
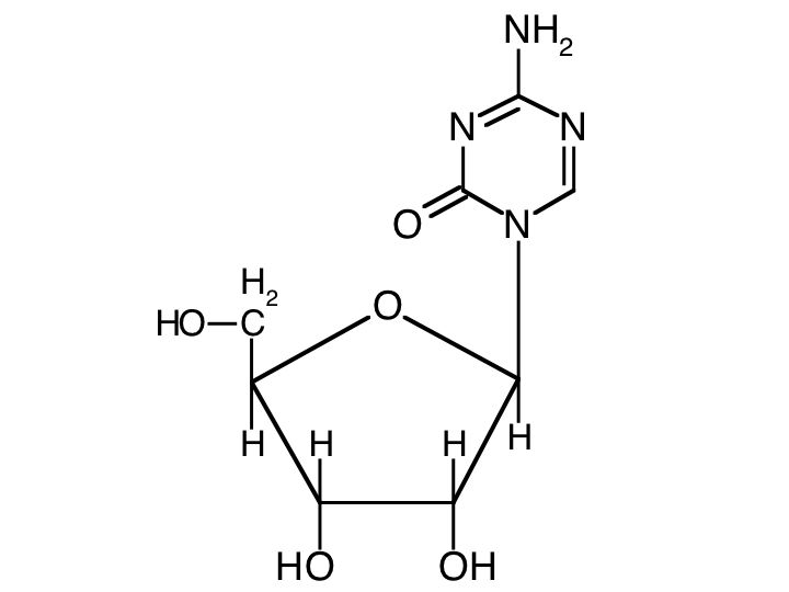
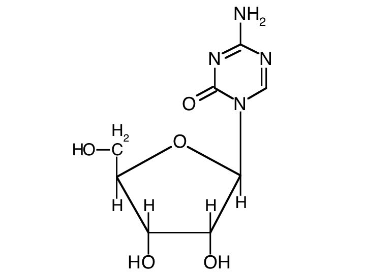
kreft narkotika   Azacitidine  
Injeksjon
Oppløsningsstabilitet Stabilitet i blandinger Faktorer som påvirker stabiliteten Kompatibilitet Administrasjonsmåte Referanser pdf
   Kjemisk struktur  

Handelsnavn   Handelsnavn     

Handelsnavn er veiledende og sammensetning av hjelpestoffer kan være forskjellig avhengig av land og produsent

Amilix Argentina
Arquimes Argentina
Azacimyl Chile
Azacitidina Argentina, Chile, Peru
Azacitidine Tyskland, USA
Azacor Peru
Azadin Tyrkia
Azamex Argentina
Azanova Argentina
Azateva Argentina
Azida Tyrkia
Azitech Argentina
Citofin Argentina
Iclacitidina Peru
Iterbil Argentina
Maturus Argentina
Mietozitidina Argentina, Peru
Nimodac Argentina
Remitiva Chile
Tazadir Argentina
Vidaza Argentina, Australia, Belgia, Brasil, Canada, Chile, Colombia, Finland, Frankrike, Island, Italia, Japan, Kroatia, Luxembourg, Malaysia, Mexico, New Zealand, Norge, Peru, Romania, Slovenia, Spania, Storbritannia, Sveits, Sverige, Tunisia, Tyrkia, Tyskland, Ungarn, USA
Zacidonel Mexico
Zylatadina Argentina
Administrasjonsmåte   Administrasjonsmåte :Azacitidine     
Voie
Intravenøs infusjon
Subkutan

  Mentions Légales