最新更新 :
18/03/2026
細胞増殖抑制薬   Azacitidine  
注射薬
溶媒内の安定性 混合時の安定性 安定性に影響する因子 互換性 投与経路 引用文献 PDF
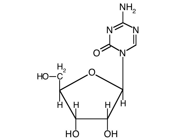
   化学構造  

商品名   商品名     

商品名、賦形剤は国、製薬会社ごとに異なることがあります

Amilix アルゼンチン
Arquimes アルゼンチン
Azacimyl チリ
Azacitidina アルゼンチン, チリ, ペルー
Azacitidine アメリカ, ドイツ
Azacor ペルー
Azadin トルコ
Azamex アルゼンチン
Azanova アルゼンチン
Azateva アルゼンチン
Azida トルコ
Azitech アルゼンチン
Citofin アルゼンチン
Iclacitidina ペルー
Iterbil アルゼンチン
Maturus アルゼンチン
Mietozitidina アルゼンチン, ペルー
Nimodac アルゼンチン
Remitiva チリ
Tazadir アルゼンチン
Vidaza アイスランド, アメリカ, アルゼンチン, アーストラリア, イギリス, イタリア, カナダ, クロアチア, コロンビア, スイス, スウェーデン, スペイン, スロベニア, チュニジア, チリ, トルコ, ドイツ, ニュージーランド, ノルウェー, ハンガリー, フィンランド, フランス, ブラジル, ベルギー, ペルー, マレーシア, メキシコ, ルクセンブルグ, ルーマニア, 日本
Zacidonel メキシコ
Zylatadina アルゼンチン
投与経路   投与経路 :Azacitidine     
経路
点滴静注
皮下

  Mentions Légales