Posledná aktualizácia :
18/03/2026
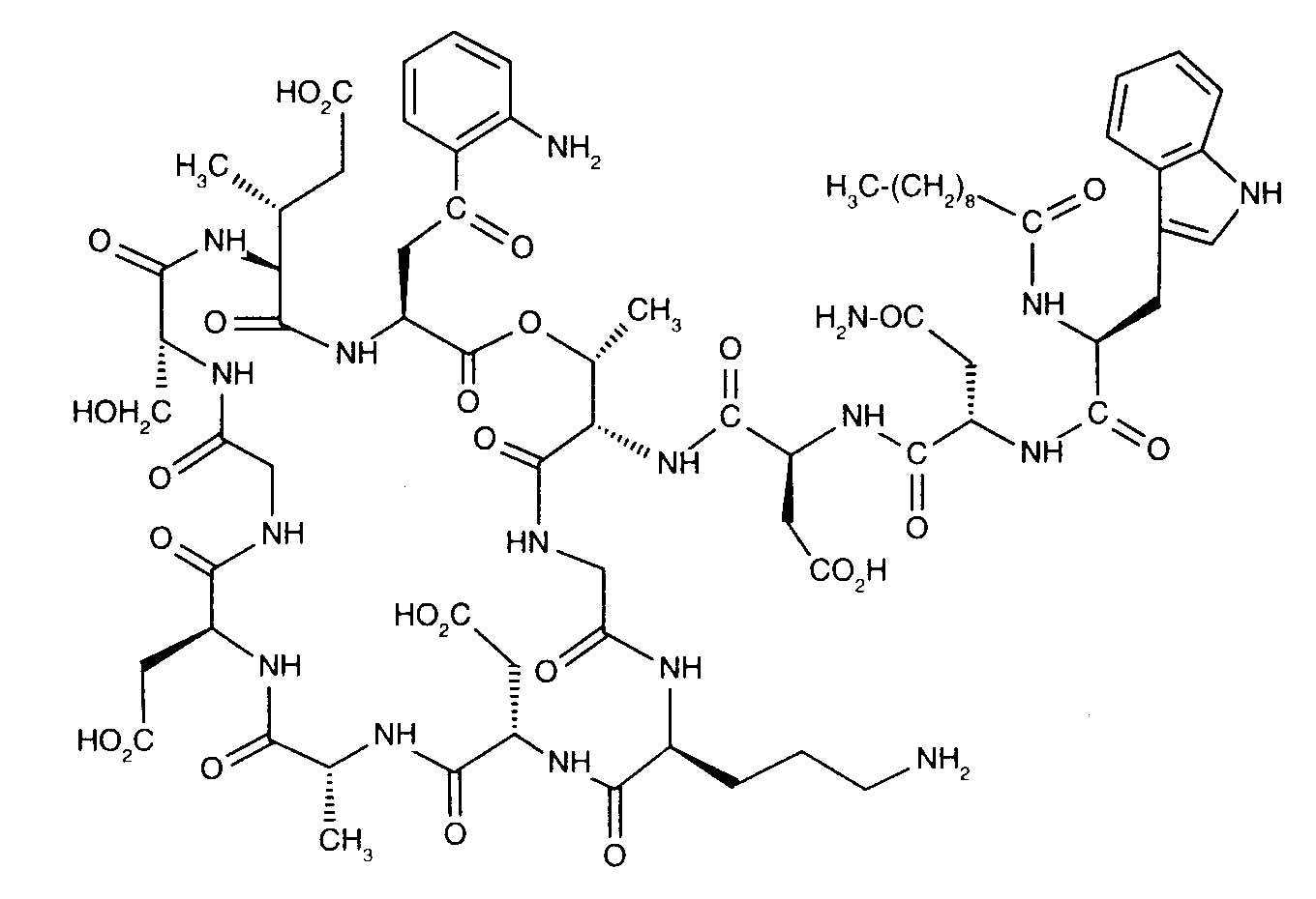
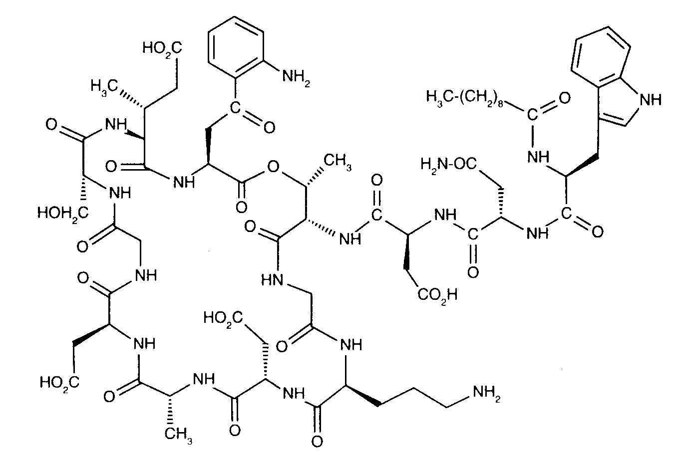
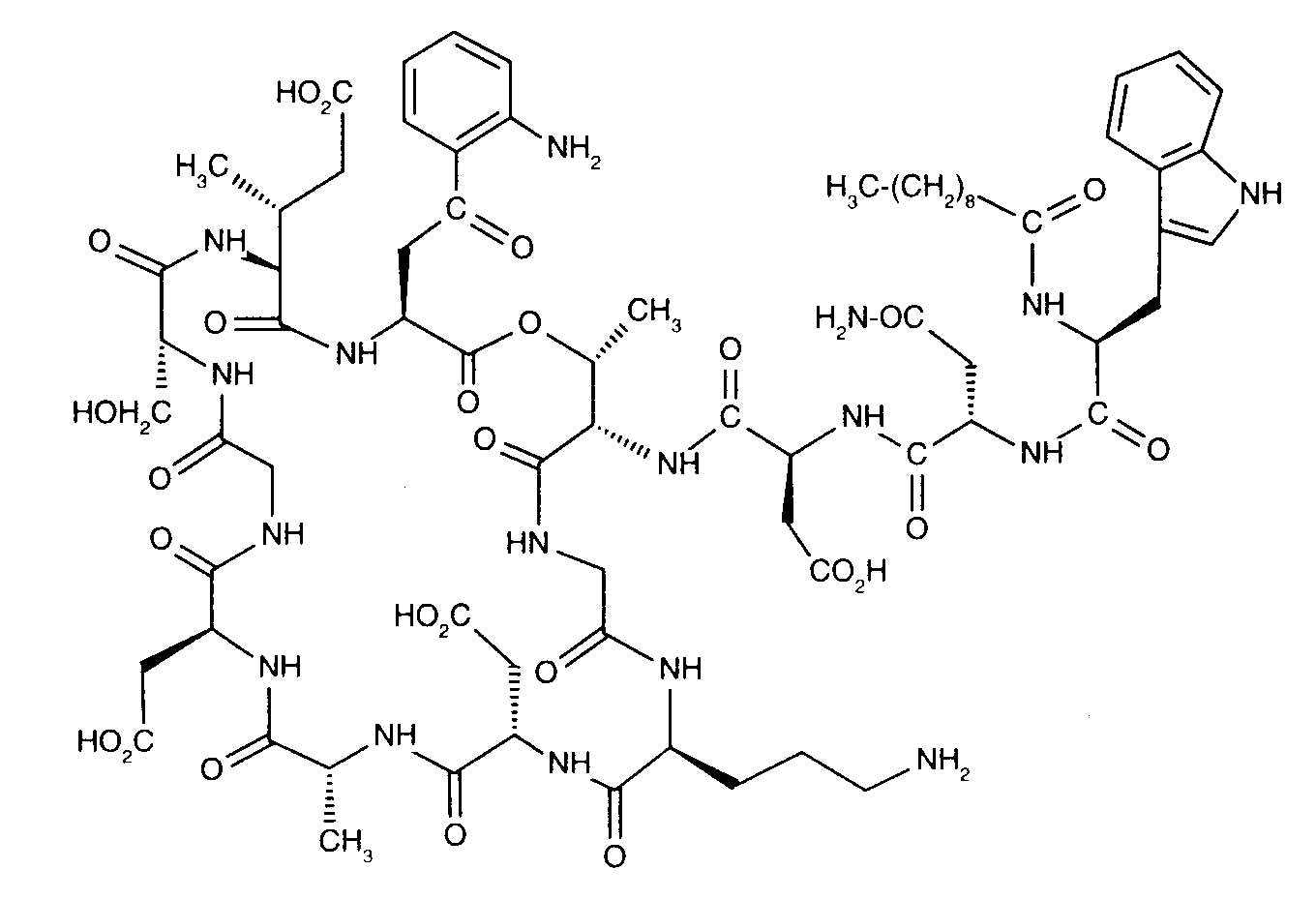
antibiotikum   Daptomycin  
Injekcia
Stabilita roztokov Stabilita v zmesiach Faktory ovplyvňujúce stabilitu Kompatibility spôsob podania Odkazy na literatúru PDF
   Chemický vzorec  

Obchodný názov   Obchodný názov     

Obchodné názvy sú orientačné, a zloženie pomocných látok sa môže líšiť v závislosti od krajiny a výrobcu.

Cubicin Argentína, Austrália, Čile, Dánsko, Fínsko, Francúzsko, Grécko, Holandsko, India, Írsko, Island, Japonsko, Kanada, Kolumbia, Maďarsko, Malajzia, Mexiko, Nemecko, Nórsko, nový Zéland, Poľsko, Portugalsko, Rakúsko, Rumunsko, Španielsko, Spojené štáty Americké, Švajčiarsko, Švédsko, Taliansko, Turecko, Veľká Británia, Venezuela
Daptomicina Argentína, Španielsko, Taliansko
Daptomicine Fínsko, Maďarsko, Nemecko, Nórsko, Veľká Británia
Exfuno Brazília, Čile
Stenkivar Nigéria
Trisk Brazília
spôsob podania   spôsob podania :Daptomycin     
Voie
intravenózna infúzia
intraventrikulárne

  Mentions Légales