viimane versioon :
18/03/2026
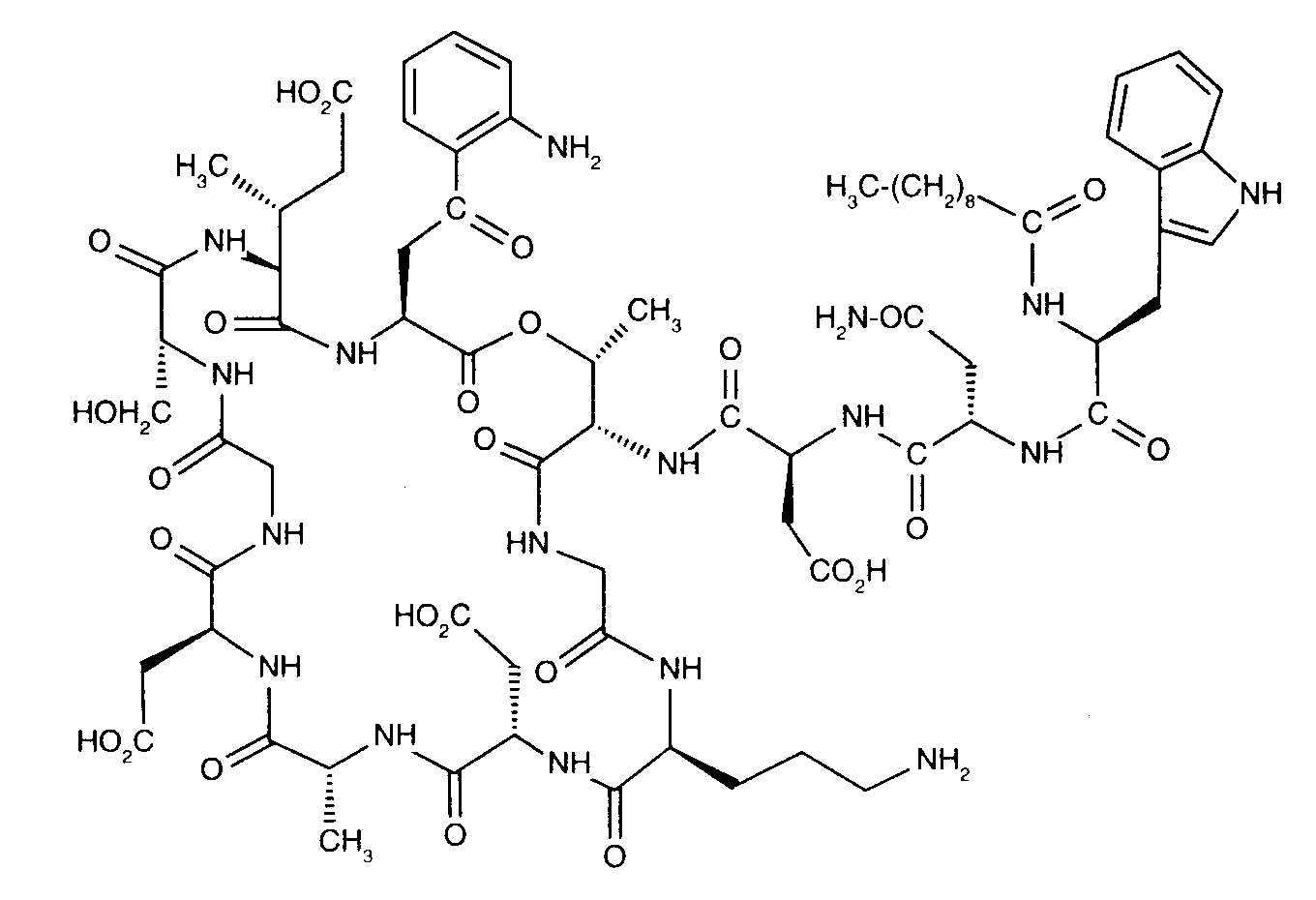
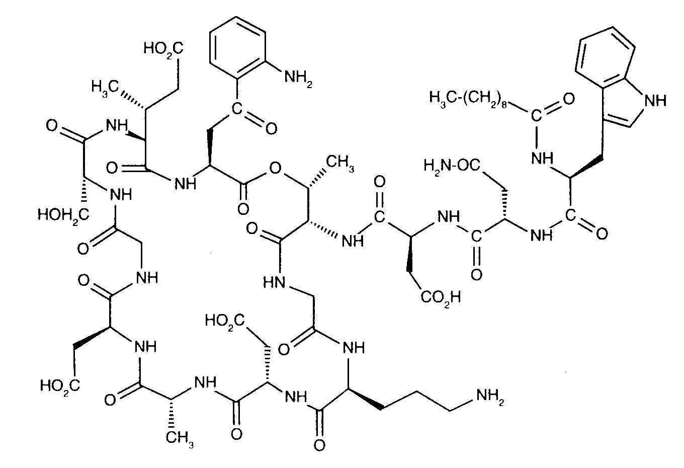
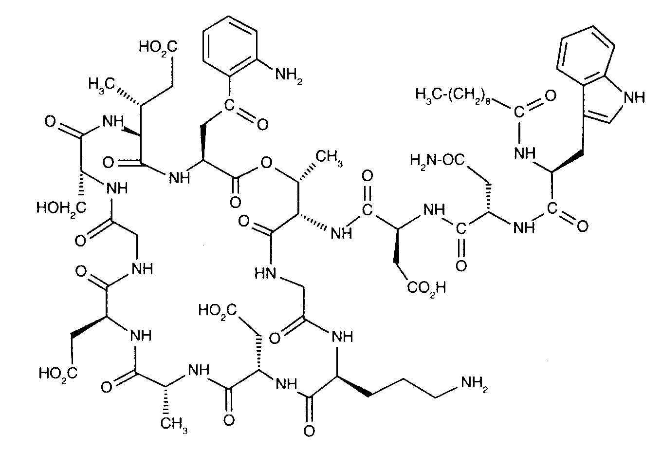
antibiootikum   Daptomycin  
Süsteravim
Stabiilsus lahustes Stabiilsust mõjutavad tegurid stabiilsust mõjutavad faktorid Sobimatus Manustamis viis Viited pdf
   keemiline struktuur  

Kaubanduslikud nimed erinevates maades   Kaubanduslikud nimed erinevates maades     

Preparaatide nimed on näitlikud ja abianete sisaldus võib erineda sõltuvalt riigist ja laborist

Cubicin Ameerika ühendriigid, Argentiina, Austraalia, Austria, Hispaania, Holland, Iirimaa, India, Island, Itaalia, Jaapan, Kanada, Kolumbia, Kreeka, Malaisia, Mehhiko, Norra, Poola, Portugal, Prantsusmaa, Rootsi, Rumeenia, Saksamaa, Soome, Suurbritannia, Sveits, Taani, Tšiili, Türgi, Ungari, uus-Meremaa, Venetsueela
Daptomicina Argentiina, Hispaania, Itaalia
Daptomicine Norra, Saksamaa, Soome, Suurbritannia, Ungari
Exfuno Brasiilia, Tšiili
Stenkivar Nigeeria
Trisk Brasiilia
Manustamis viis   Manustamis viis :Daptomycin     
Voie
intravenoosne infusioon
intraventrikulaarne

  Mentions Légales