Poslední aktualizace :
18/03/2026
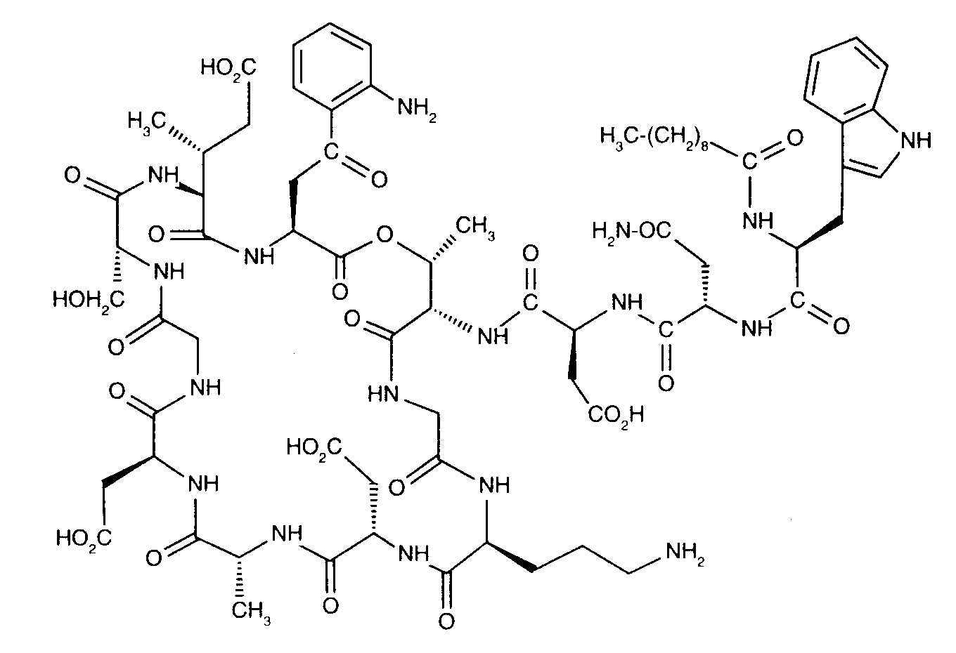
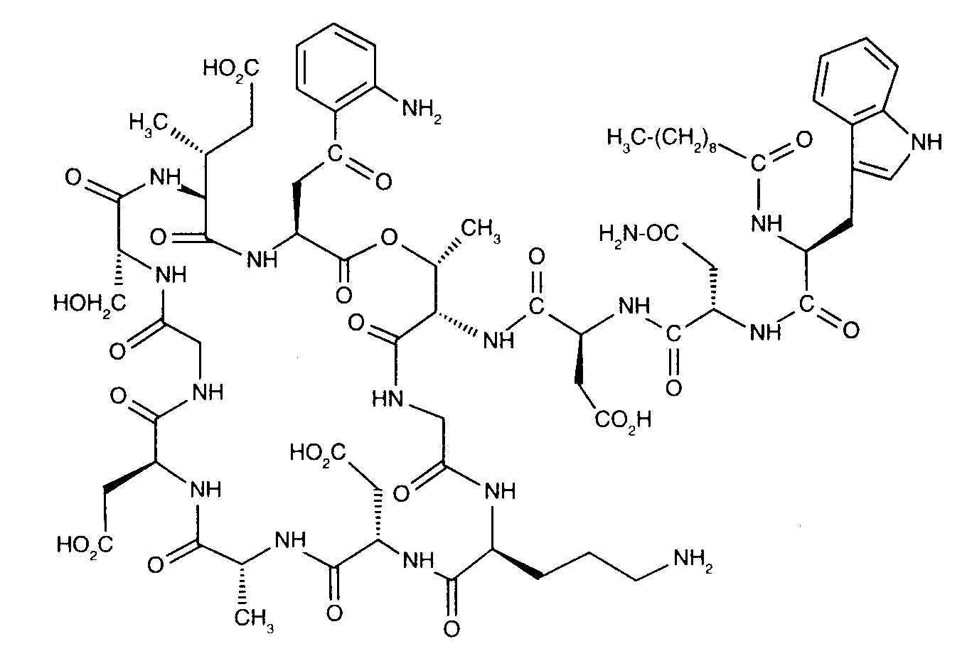
Antibiotikum   Daptomycin  
injekce
Stabilita roztoků Stabilita směsí Faktory ovlivňující stabilitu Kompatibilita Způsoby aplikace Odkazy pdf
   Chemický vzorec  

Obchodní název   Obchodní název     

Trade names are indicative and excipients composition can be different depending on the country and manufacturers

Cubicin äpanÏlsko, Argentina, Austrálie, Chile, Dánsko, Finsko, Francie, Indie, Irsko, Island, Itálie, Japonsko, Kanada, Kolumbie, Malajsie, MaÔarsko, Mexiko, NÏmecko, Nizozemsko, Norsko, nový Zéland, Polsko, Portugalsko, Rakousko, Rumunsko, Švédsko, Švýcarsko, Turecko, USA, Velká Británie, Venezuela, ÿecko
Daptomicina äpanÏlsko, Argentina, Itálie
Daptomicine Finsko, MaÔarsko, NÏmecko, Norsko, Velká Británie
Exfuno BrazÌlie, Chile
Stenkivar Nigérie
Trisk BrazÌlie
Způsoby aplikace   Způsoby aplikace :Daptomycin     
Voie
Intravenózní infúze
intraventrikulárně

  Mentions Légales