Poslední aktualizace :
18/03/2026
Antibiotikas   Daptomycin  
Įpurškimas
Tirpalų stabilumas Mišinių stabilumas Stabilumą lemiantys veiksniai Suderinamumas Leidimo būdai Bibliografija pdf
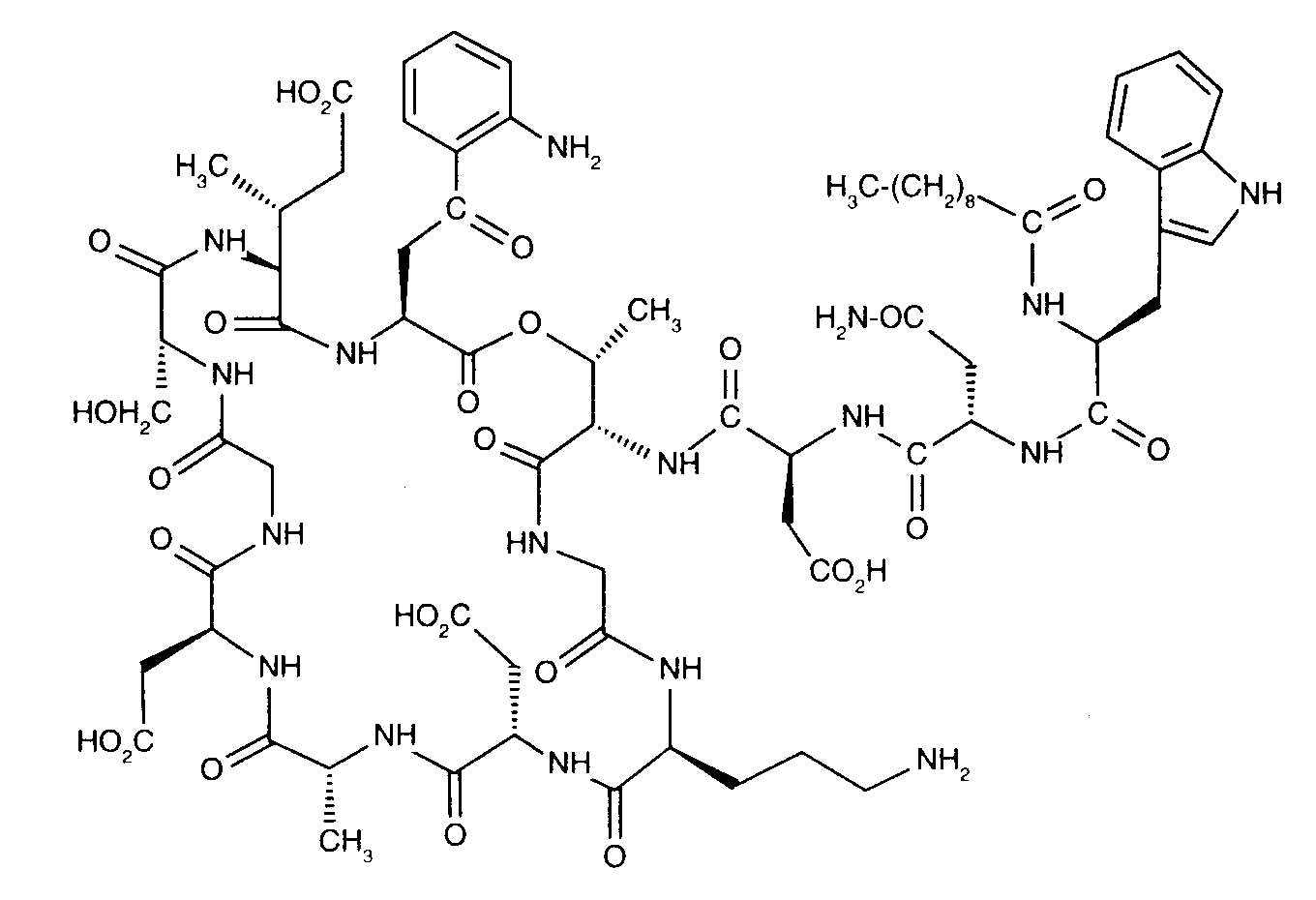
   Cheminė sandara  

Prekinis pavadinimas   Prekinis pavadinimas     

Trade names are indicative and excipients composition can be different depending on the country and manufacturers

Cubicin Airija, Argentina, Australija, Austrija, Čilė, Danija, Didžioji Britanija, Graikija, Indija, Islandija, Ispanija, Italija, Japonija, Jungtinės Amerikos Valstijos, Kanada, Kolumbija, Lenkija, Malaizija, Meksikas, Naujojoje Zelandijoje, Norvegija, Olandija, Portugalija, Prancūzija, Rumunija, Suomija, Švedija, Šveicarija, Turkija, Venesuela, Vengrija, Vokietija
Daptomicina Argentina, Ispanija, Italija
Daptomicine Didžioji Britanija, Norvegija, Suomija, Vengrija, Vokietija
Exfuno Brazilija, Čilė
Stenkivar Nigerija
Trisk Brazilija
Bibliografija   Įpurškimas   Bibliografija : Daptomycin  
tipas leidinys
1937 Žurnalas Lai JJ, Brodeur SK.
Physical and chemical stability of daptomycin with nine medications.
Ann Pharmacotherapy 2004 ; 38: 1612-1616.
2247 Žurnalas Chan P, Heatherly K, Kupiec T.C, Trissel L.A.
Compatibility of caspofungin acetate injection with other drugs during simulated Y-site coadministration.
Int J Pharm Compound 2008 ; 12, 3: 276-278.
2262 Žurnalas Brammer MK, Chan P, Heatherly K, Trusley C, Kupiec TC, Trissel LA, Psathas PA, Gilmor T, Schaufelberger D.
Compatibility of doripenem with other drugs during simulated Y-site administratioN
Am J Health-Syst Pharm 2008 ; 65: 1261-1265.
2271 Laboratorija Daptomycine (Cubicin®) Résumé des caractéristiques du produits
Novartis 2006
3122 Žurnalas Dotson B, Lynn S, Savakis K, Churchwell MD.
Physical compatibility of 4% sodium citrate with selected antimicrobial agents.
Am J Health-Syst Pharm 2010 ; 67: 1195-1198.
3218 Žurnalas Peyro Saint Paul L, Albessard F, Gaillard C, Debruyn D, Ryckelynck J Ph, Antoine Coquerel, Lobbedez T
Daptomycin Compatibility in Peritoneal Dialysis Solutions
Perit Dial Int 2011 ; 31: 492-495.
3439 Žurnalas Parra M.A, Campanero M.A, S?daba B, Irigoyen A, Garc?a-L?pez L,Fernandez-Reyes M.J, Ramon Azanza J.
Effect of Glucose Concentration on the Stability of Daptomycin in Peritoneal Solutions.
Perit Dial Int 2013 ; 33:458-461
3665 Žurnalas Ortega R, Salmer?n-Garc?a A, Cabeza J, Capit?n-Vallvey L.F, Navas N.
Stability of daptomycin 5 mg/mL and heparin sodium 100 units/mL combined in lactated Ringer’s injection and stored in polypropylene syringes at 4 and -20°C.
Am J Health-Syst Pharm 2014 ; 71:956-959
3827 plakatas Ghazi I.M, Hamada Y, Nicolau D.P.
Compatibility of tedizolid phosphate with selected intravenous drugs via simulated Y-site conditions.
ASHP Midyear 2015
3828 plakatas Thabit A.K, Hamada Y, Nicolau D.P.
Ceftozolane/tazobactam physical compatibility during simulated Y-site administration.
ASHP Midyear 2015
3829 plakatas So W, Kim L, Thabit A.K, Nicolau D.P, Kuti J.L.
Compatibility of isavunazonium sulfate during simulated Y-site administration.
ASHP Midyear 2015
3976 Žurnalas Du Repaire T, Vigne P, Guedon A, Gauthier-Villano L, Bertault Peres P, Pourroy B.
Visual compatibility of blinatumomab with selected co-administrated drugs during simulated Y-site administration.
Am J Health-Syst Pharm 2017 ; 74,16 : 1217-1218
4055 Žurnalas Monogue M, Almarzoky Abuhussain S, Kuti J, Nicolau D.
Physical compatibility of fosfomycin for injection with select i.v. drugs during simulated Y-site administration.
Am J Health-Syst Pharm 2018 , 75, 1:36-44
4074 Žurnalas Ferrandez J, Sanchez R, Diaz D, Diaz M, Estevan M, Garcia T.
Stability of daptomycin reconstituted vials and infusion solutions.
EJHP 2018 ; 25: 107-110.
4145 Žurnalas Asempa T.E, Avery L.M, Kidd J.M, Kuti J.L, Nicolau D.P.
Physical compatibility of plazomicin with select i.v. drugs during simulated Y-site administration.
Am J Health-Syst Pharm 2018 ;75,14:1048-1056
4254 Žurnalas D'Huart E, Vigneron J, Demoré B.
Physical Compatibility of Intravenous Drugs Commonly Used in Intensive Care Units: An Observational Study and Physical Compatibility Laboratory Tests on Anti-Infective Drugs
Pharmaceutical Technology in Hospital Pharmacy 2019 ;4,1:29-40
4380 Laboratorija Posaconazole (Noxafil®) - Summary of Product Characteristics
Merck Sharp & Dohme Limited 2019
4528 Žurnalas Lu J, Liu Q, Kupiec T, Vail H, Lunch L, Fam D, Vu N.
Physical Compatibility of Cefiderocol with Selected Intravenous Drugs During Simulated Y-site Administration.
Int J Pharm Compound 2021 ;25,1:52-61
4801 Žurnalas Ruiz V, Yuwei Shen Y, Abouelhassan Y, Fouad A, Nicolau D, Kuti J.
Physical compatibility of sulbactam/durlobactam with select intravenous drugs during simulated Y-site administration.
Am J Health-Syst Pharm 2024 ;51,1:
4936 Žurnalas Chow K.M, Wo S.K, So S.W.Y, Cheng P.M.S, Zhou K.R, Lim W.L, Zuo J.Z, Li P.K.T.
Stability of Daptomycin in Dextrose and Icodextrin-Based Peritoneal Dialysis Solutions.
Can J Anesth 2025

  Mentions Légales