Zadnji put ažurirano :
27/11/2025
antibiotik   Daptomycin  
injekcija
Stabilizacija rješenja Stabilnost mješavine Stabilizacijski faktor Kompatibilnosti način davanja lijeka Bibliografija pdf
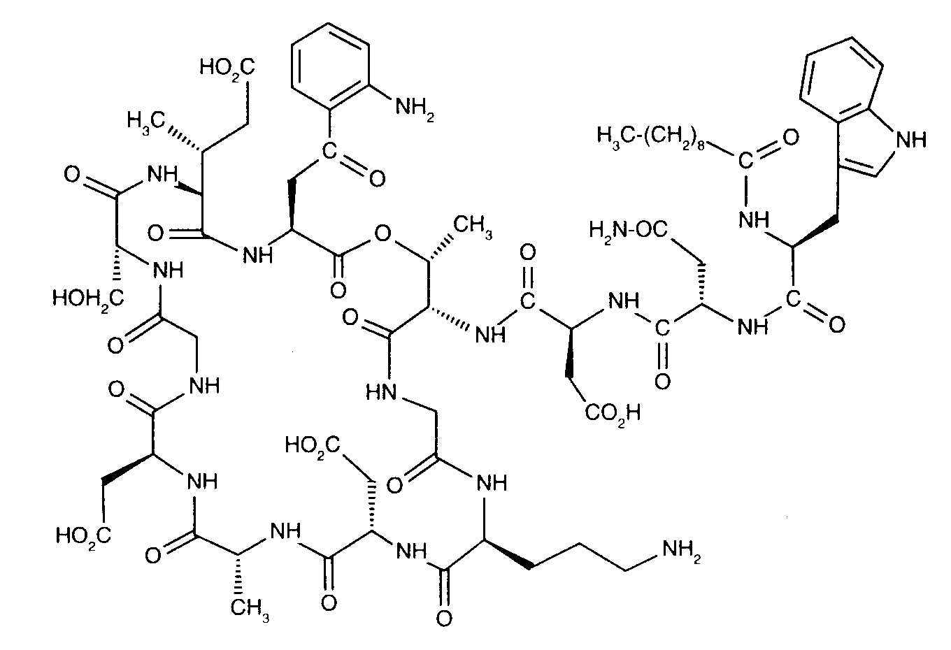
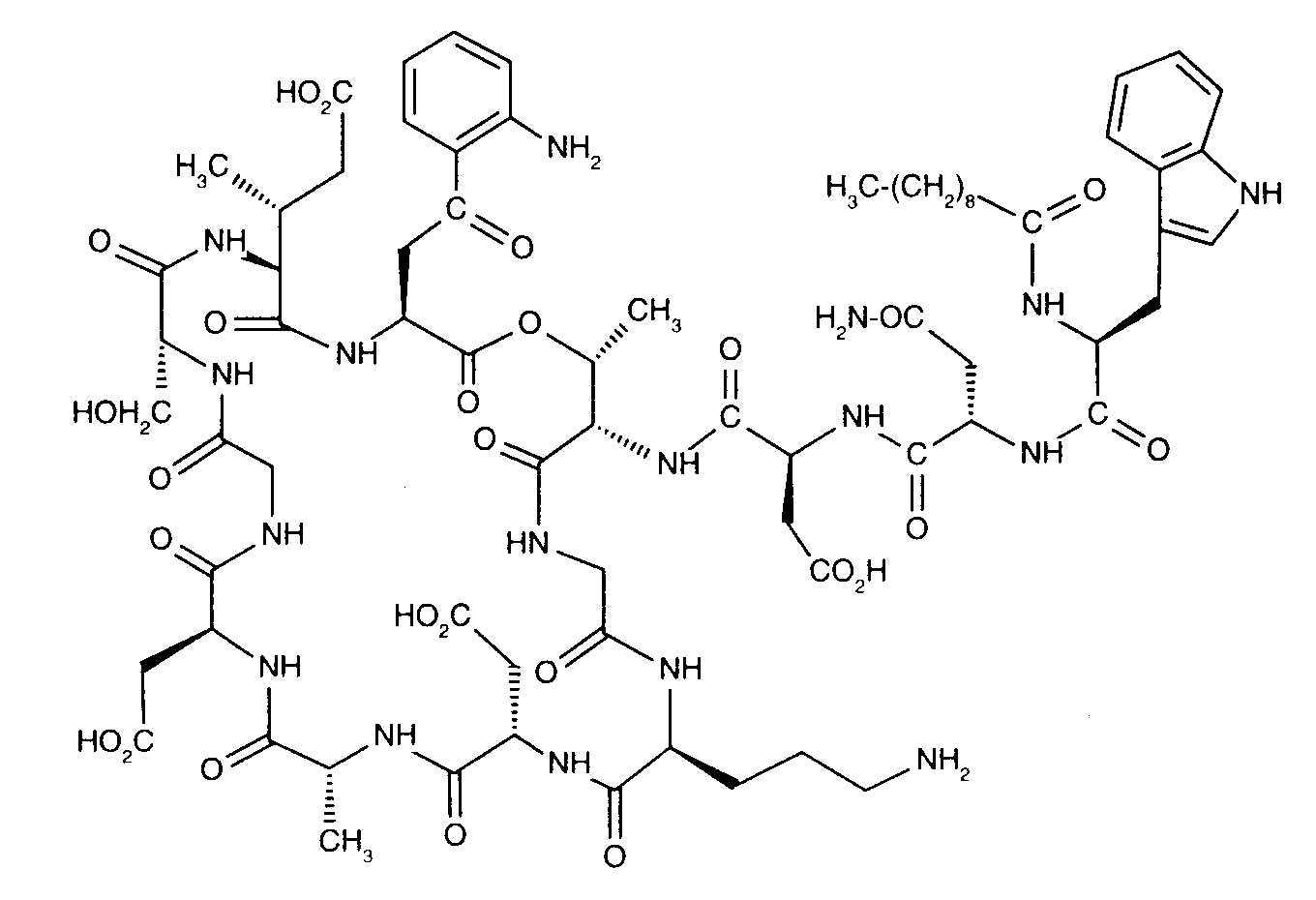
   Kemijska struktura  

Nekomercijalni   Nekomercijalni     

Zaštićeni nazivi su indikativni i sastav ekscipijensa može biti različit ovisno o državi i laboratorijima

Cubicin Indija, Argentina, Australija, Austrija, Čile, Danska, Finska, Francuska, Grčka, Irska, Island, Italija, Japan, Kanada, Kolumbija, Madžarska, Malezija, Meksiko, Nizozemska, Njemačka, Norveška, novi Zeland, Poljska, Portugal, Rumunjska, S A D, Španjolska, Švedska, Švicarska, Turska, Velika Britanija, Venecuela
Daptomicina Argentina, Italija, Španjolska
Daptomicine Finska, Madžarska, Njemačka, Norveška, Velika Britanija
Exfuno Brazil, Čile
Stenkivar Nigerija
Trisk Brazil
Bibliografija   injekcija   Bibliografija : Daptomycin  
Vrsta Publikacija
1937 Časopis Lai JJ, Brodeur SK.
Physical and chemical stability of daptomycin with nine medications.
Ann Pharmacotherapy 2004 ; 38: 1612-1616.
2247 Časopis Chan P, Heatherly K, Kupiec T.C, Trissel L.A.
Compatibility of caspofungin acetate injection with other drugs during simulated Y-site coadministration.
Int J Pharm Compound 2008 ; 12, 3: 276-278.
2262 Časopis Brammer MK, Chan P, Heatherly K, Trusley C, Kupiec TC, Trissel LA, Psathas PA, Gilmor T, Schaufelberger D.
Compatibility of doripenem with other drugs during simulated Y-site administratioN
Am J Health-Syst Pharm 2008 ; 65: 1261-1265.
2271 Laboratorija Daptomycine (Cubicin®) Résumé des caractéristiques du produits
Novartis 2006
3122 Časopis Dotson B, Lynn S, Savakis K, Churchwell MD.
Physical compatibility of 4% sodium citrate with selected antimicrobial agents.
Am J Health-Syst Pharm 2010 ; 67: 1195-1198.
3218 Časopis Peyro Saint Paul L, Albessard F, Gaillard C, Debruyn D, Ryckelynck J Ph, Antoine Coquerel, Lobbedez T
Daptomycin Compatibility in Peritoneal Dialysis Solutions
Perit Dial Int 2011 ; 31: 492-495.
3439 Časopis Parra M.A, Campanero M.A, S?daba B, Irigoyen A, Garc?a-L?pez L,Fernandez-Reyes M.J, Ramon Azanza J.
Effect of Glucose Concentration on the Stability of Daptomycin in Peritoneal Solutions.
Perit Dial Int 2013 ; 33:458-461
3665 Časopis Ortega R, Salmer?n-Garc?a A, Cabeza J, Capit?n-Vallvey L.F, Navas N.
Stability of daptomycin 5 mg/mL and heparin sodium 100 units/mL combined in lactated Ringer’s injection and stored in polypropylene syringes at 4 and -20°C.
Am J Health-Syst Pharm 2014 ; 71:956-959
3827 Plakat Ghazi I.M, Hamada Y, Nicolau D.P.
Compatibility of tedizolid phosphate with selected intravenous drugs via simulated Y-site conditions.
ASHP Midyear 2015
3828 Plakat Thabit A.K, Hamada Y, Nicolau D.P.
Ceftozolane/tazobactam physical compatibility during simulated Y-site administration.
ASHP Midyear 2015
3829 Plakat So W, Kim L, Thabit A.K, Nicolau D.P, Kuti J.L.
Compatibility of isavunazonium sulfate during simulated Y-site administration.
ASHP Midyear 2015
3976 Časopis Du Repaire T, Vigne P, Guedon A, Gauthier-Villano L, Bertault Peres P, Pourroy B.
Visual compatibility of blinatumomab with selected co-administrated drugs during simulated Y-site administration.
Am J Health-Syst Pharm 2017 ; 74,16 : 1217-1218
4055 Časopis Monogue M, Almarzoky Abuhussain S, Kuti J, Nicolau D.
Physical compatibility of fosfomycin for injection with select i.v. drugs during simulated Y-site administration.
Am J Health-Syst Pharm 2018 , 75, 1:36-44
4074 Časopis Ferrandez J, Sanchez R, Diaz D, Diaz M, Estevan M, Garcia T.
Stability of daptomycin reconstituted vials and infusion solutions.
EJHP 2018 ; 25: 107-110.
4145 Časopis Asempa T.E, Avery L.M, Kidd J.M, Kuti J.L, Nicolau D.P.
Physical compatibility of plazomicin with select i.v. drugs during simulated Y-site administration.
Am J Health-Syst Pharm 2018 ;75,14:1048-1056
4254 Časopis D'Huart E, Vigneron J, Demoré B.
Physical Compatibility of Intravenous Drugs Commonly Used in Intensive Care Units: An Observational Study and Physical Compatibility Laboratory Tests on Anti-Infective Drugs
Pharmaceutical Technology in Hospital Pharmacy 2019 ;4,1:29-40
4380 Laboratorija Posaconazole (Noxafil®) - Summary of Product Characteristics
Merck Sharp & Dohme Limited 2019
4528 Časopis Lu J, Liu Q, Kupiec T, Vail H, Lunch L, Fam D, Vu N.
Physical Compatibility of Cefiderocol with Selected Intravenous Drugs During Simulated Y-site Administration.
Int J Pharm Compound 2021 ;25,1:52-61
4801 Časopis Ruiz V, Yuwei Shen Y, Abouelhassan Y, Fouad A, Nicolau D, Kuti J.
Physical compatibility of sulbactam/durlobactam with select intravenous drugs during simulated Y-site administration.
Am J Health-Syst Pharm 2024 ;51,1:
4936 Časopis Chow K.M, Wo S.K, So S.W.Y, Cheng P.M.S, Zhou K.R, Lim W.L, Zuo J.Z, Li P.K.T.
Stability of Daptomycin in Dextrose and Icodextrin-Based Peritoneal Dialysis Solutions.
Can J Anesth 2025

  Mentions Légales