Poslední aktualizace :
18/03/2026
Priešgrybelinis vaistas   Anidulafungin  
Įpurškimas
Tirpalų stabilumas Mišinių stabilumas Stabilumą lemiantys veiksniai Suderinamumas Leidimo būdai Bibliografija pdf
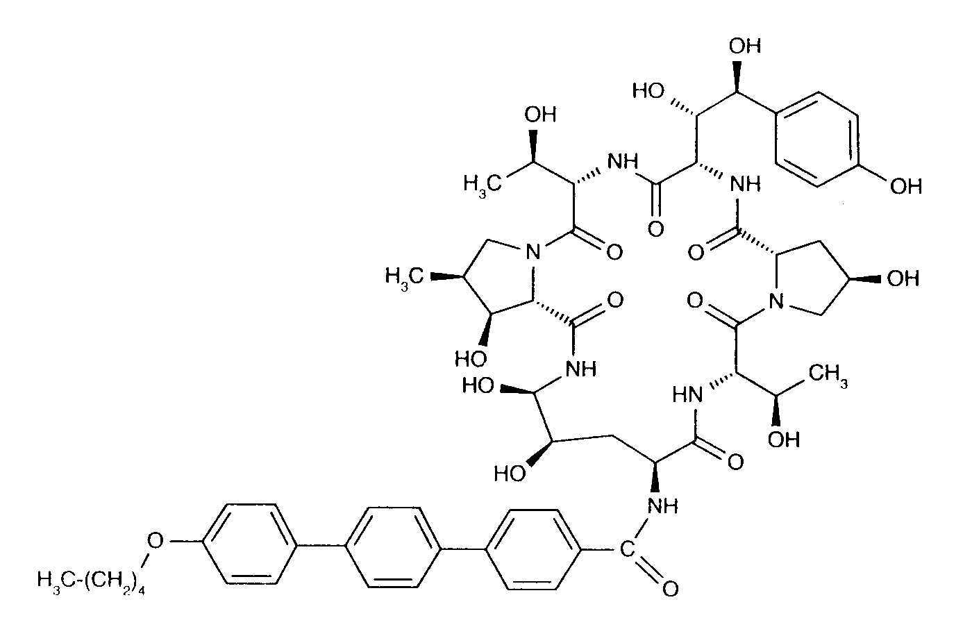
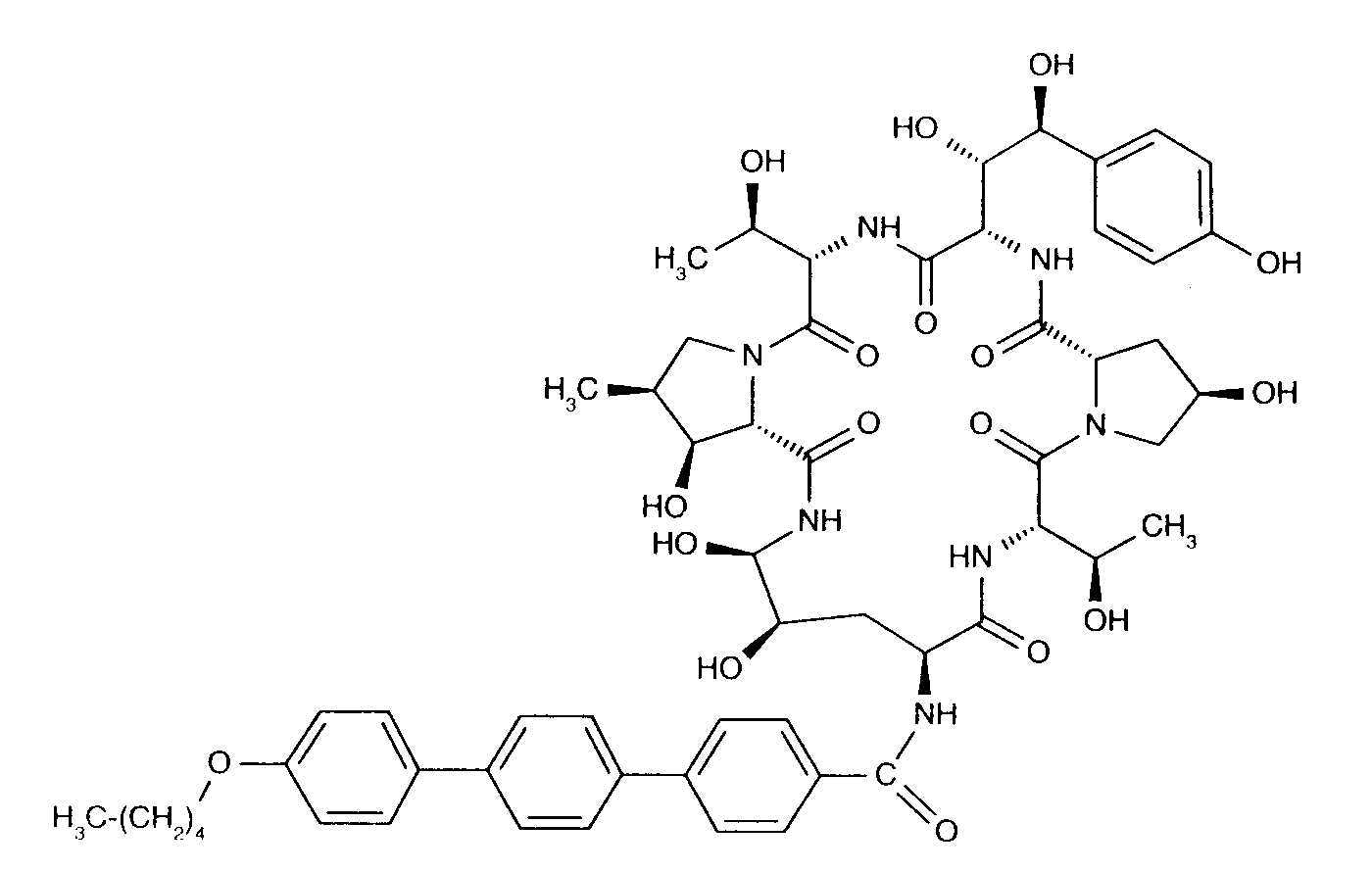
   Cheminė sandara  

Prekinis pavadinimas   Prekinis pavadinimas     

Trade names are indicative and excipients composition can be different depending on the country and manufacturers

Anidulafungin Belgija, Didžioji Britanija, Vokietija
Anidulafungina Brazilija, Ispanija
Ecalta Argentina, Belgija, Brazilija, Čilė, Danija, Didžioji Britanija, Graikija, Ispanija, Italija, Jungtinės Amerikos Valstijos, Kanada, Kolumbija, Lenkija, Liuksemburgas, Malaizija, Norvegija, Olandija, Peru, Prancūzija, Rumunija, Suomija, Švedija, Šveicarija, Turkija, Venesuela, Vengrija, Vokietija
Equalta Meksikas
Eraxis Australija, Jungtinės Amerikos Valstijos, Kanada
Fuzig Meksikas
Bibliografija   Įpurškimas   Bibliografija : Anidulafungin  
tipas leidinys
1982 Žurnalas Trissel LA, Ogundele AB.
Compatibility of anidulafungin with other drugs during simulated Y-site administration.
Am J Health-Syst Pharm 2005 ; 62: 834-837.
2262 Žurnalas Brammer MK, Chan P, Heatherly K, Trusley C, Kupiec TC, Trissel LA, Psathas PA, Gilmor T, Schaufelberger D.
Compatibility of doripenem with other drugs during simulated Y-site administratioN
Am J Health-Syst Pharm 2008 ; 65: 1261-1265.
3567 Laboratorija Anidulafungin (Ecalta®) - Summary of Product Characteristics.
Pfizer 2020
3827 plakatas Ghazi I.M, Hamada Y, Nicolau D.P.
Compatibility of tedizolid phosphate with selected intravenous drugs via simulated Y-site conditions.
ASHP Midyear 2015
3828 plakatas Thabit A.K, Hamada Y, Nicolau D.P.
Ceftozolane/tazobactam physical compatibility during simulated Y-site administration.
ASHP Midyear 2015
3829 plakatas So W, Kim L, Thabit A.K, Nicolau D.P, Kuti J.L.
Compatibility of isavunazonium sulfate during simulated Y-site administration.
ASHP Midyear 2015
4055 Žurnalas Monogue M, Almarzoky Abuhussain S, Kuti J, Nicolau D.
Physical compatibility of fosfomycin for injection with select i.v. drugs during simulated Y-site administration.
Am J Health-Syst Pharm 2018 , 75, 1:36-44
4145 Žurnalas Asempa T.E, Avery L.M, Kidd J.M, Kuti J.L, Nicolau D.P.
Physical compatibility of plazomicin with select i.v. drugs during simulated Y-site administration.
Am J Health-Syst Pharm 2018 ;75,14:1048-1056
4528 Žurnalas Lu J, Liu Q, Kupiec T, Vail H, Lunch L, Fam D, Vu N.
Physical Compatibility of Cefiderocol with Selected Intravenous Drugs During Simulated Y-site Administration.
Int J Pharm Compound 2021 ;25,1:52-61
4801 Žurnalas Ruiz V, Yuwei Shen Y, Abouelhassan Y, Fouad A, Nicolau D, Kuti J.
Physical compatibility of sulbactam/durlobactam with select intravenous drugs during simulated Y-site administration.
Am J Health-Syst Pharm 2024 ;51,1:

  Mentions Légales