Последнее обновление :
18/03/2026
Антибиотик   Azithromycine  
Инъекция
Мази
Стабильность растворов Стабильность смесей Факторы, которые влияют на стабильность Совместимость Способы введения Библиография pdf
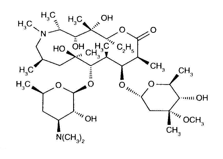
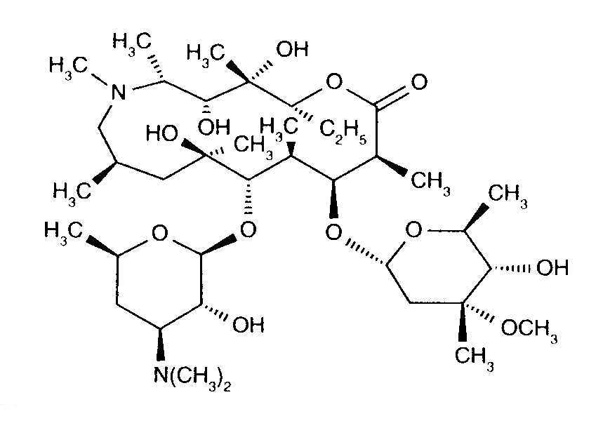
   Химическая структура  

Товарное название   Товарное название     

Trade names are indicative and excipients composition can be different depending on the country and manufacturers

Azithromycin Канада
Azithromycina Эквадор
Azithromycine Dr Erbeth Германия
Azitromax Швеция
Sumamed Венгрия, Польша
Zaret Колумбия
Zedbac Великобритания, Ирландия
Zetamac Чехия
Zithromac Япония
Zithromax Австралия, Египет, Канада, Малайзия, Объединенные Арабские Эмираты, Португалия, Саудовская Аравия, Соединённые Штаты Америки, Финляндия, чили
Способы введения   Способы введения :Azithromycine     
Voie
Интравенная, внутривенная инфузия

  Mentions Légales