Letztes “update” :
18/03/2026
Antibiotikum   Azithromycine  
Injektion
Salben
Stabilität der Lösung Gemengestabilität Stabilitätbeeinflussende Faktoren Kompatibilitäten Applikationsart Literaturverzeichnis pdf
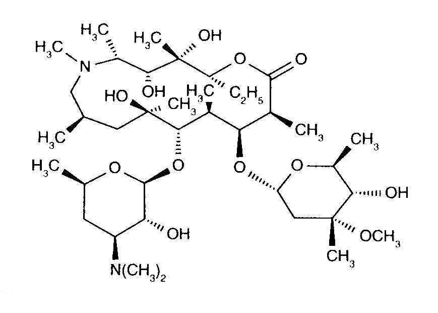
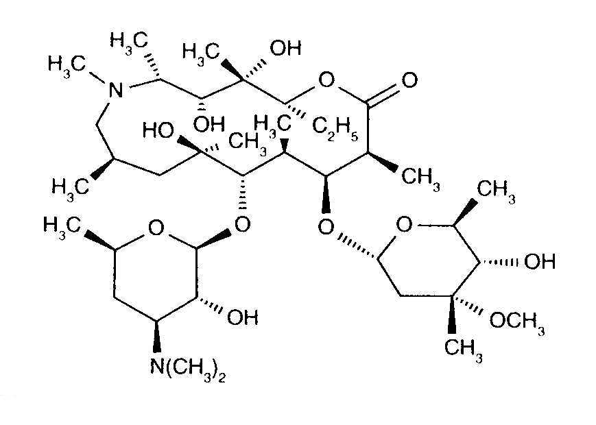
   Chemische Struktur  

Handelsmarke   Handelsmarke     

Handelsnamen sind als beispielhaft anzusehen. Sonstige Bestandteile können je nach Hersteller oder Land verschieden sein

Azithromycin Kanada
Azithromycina Ecuador
Azithromycine Dr Erbeth Deutschland
Azitromax Schweden
Sumamed Polen, Ungarn
Zaret Kolumbien
Zedbac Großbritannien, Irland
Zetamac Tschechische Republik
Zithromac Japan
Zithromax Ägypten, Australien, Chile, Finnland, Kanada, Malaysia, Portugal, Saudi-Arabien, Vereinigte Arabische Emirate, Vereinigte Staaten von Amerika
Applikationsart   Applikationsart :Azithromycine     
Verabreichung
Intravenöse Perfusion

  Mentions Légales