Τελευταία ενημέρωση :
18/03/2026
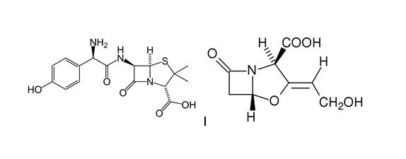
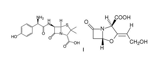
Αντιβιοτικό   Amoxicillin sodium / clavulanic acid  
Ενέσιμο
Πόσιμο διάλυμα
Σταθερότητα διαλυμάτων Σταθερότητα σε μίγματα Παράγοντας που επηρεάζει τη σταθερότητα Συμβατότητες Τρόπος χορήγησης Βιβλιογραφία pdf
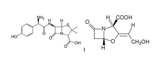
   χημική δομή  

Εμπορική ονομασία   Εμπορική ονομασία     

Οι εμπορικές ονομασίες είναι ενδεικτικές και η σύνθεση των εκδόχων μπορεί να διαφέρει ανάλογα με τη χώρα και τα εργαστήρια

Aktil Ουγγαρία
Amoclan Σαουδική Αραβία
Amoklavin Τουρκία
Amoksiklav Πολωνία
Amoxclav Σαουδική Αραβία
Amplamox Βραζιλία
Augmentin Yhdistyneet arabiemiirikunnat, Αυστρία, Βέλγιο, Γαλλία, Εκουαδόρ, Ελβετία, Ελλάδα, Ισπανία, Ιταλία, Μεγάλη Βρετανία, Ολλανδία, Πολωνία, Σαουδική Αραβία, Τουρκία, Χιλή
Betamox Πορτογαλία
Clavamox Αυστρία
Clavicin Βενεζουέλα, Μαλαισία
Clavulin Βραζιλία
Co-amoxi Ελβετία
Co-Amoxicillin Ελβετία
Curam νέα Ζηλανδία, Σαουδική Αραβία
Darzitil Αργεντινή
Dibional Αργεντινή
Julmentin Yhdistyneet arabiemiirikunnat
Novamox Βραζιλία
Sulbamox Χιλή
Tarometin Πολωνία
Trifamox Αργεντινή, Εκουαδόρ, Κολομβία, Μεξικό
Σταθερότητα διαλυμάτων   Ενέσιμο   Σταθερότητα διαλυμάτων : Amoxicillin sodium / clavulanic acid     
Υποδοχέας Διαλυτικό Συγκέντρωση Θερμοκρασία Αποθήκευση Διάρκεια σταθερότητας Βιβλιογραφία
Πολυολεφίνη Χλωριούχο νάτριο 0,9% 20 / 2 mg/ml 20-25°C Φως
4 Ώρα
1746
Επίπεδο των αποδεικτικών στοιχείων B

Πολυολεφίνη Χλωριούχο νάτριο 0,9% 20 / 2 mg/ml 4°C Προστατεύετε από το φως
8 Ώρα
1746
Επίπεδο των αποδεικτικών στοιχείων B

Πολυολεφίνη Χλωριούχο νάτριο 0,9% 20 / 4 mg/ml 20-25°C Φως
4 Ώρα
1746
Επίπεδο των αποδεικτικών στοιχείων B

Πολυολεφίνη Χλωριούχο νάτριο 0,9% 20 / 4 mg/ml 4°C Προστατεύετε από το φως
8 Ώρα
1746
Επίπεδο των αποδεικτικών στοιχείων B

σύριγγα πολυπροπυλένιο Ενέσιμο ύδωρ 25/5 mg/ml 2-8°C Προστατεύετε από το φως
4 Ώρα
4922
Επίπεδο των αποδεικτικών στοιχείων D


  Mentions Légales