最新更新 :
18/03/2026
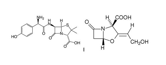
抗生素   Amoxicillin sodium / clavulanic acid  
注射液
口服剂
溶液稳定性 混合物稳定性 影响稳定性的因素 兼容性 用药途径 引用文献 PDF
   化学式  

商品名   商品名     

商品名仅供参考, 药品所用的辅料可能依国家或厂商不同有所不同。

Aktil 匈牙利
Amoclan 沙特阿拉伯
Amoklavin 土耳其
Amoksiklav 波兰
Amoxclav 沙特阿拉伯
Amplamox 巴西
Augmentin 厄瓜多尔, 土耳其, 奥地利, 希腊, 意大利, 智利, 比利时, 沙特阿拉伯, 法国, 波兰, 瑞士, 英国, 荷兰, 西班牙, 阿联酋
Betamox 葡萄牙
Clavamox 奥地利
Clavicin 委内瑞拉, 马来西亚
Clavulin 巴西
Co-amoxi 瑞士
Co-Amoxicillin 瑞士
Curam 新西蘭, 沙特阿拉伯
Darzitil 阿根廷
Dibional 阿根廷
Julmentin 阿联酋
Novamox 巴西
Sulbamox 智利
Tarometin 波兰
Trifamox 厄瓜多尔, 哥伦比亚, 墨西哥, 阿根廷
溶液稳定性   注射液   溶液稳定性 : Amoxicillin sodium / clavulanic acid     
容器 溶剂 浓度 温度 保存 穩定持續時間 引用文献
聚烯烃 NaCl 0,9% 20 / 2 mg/ml 20-25°C 光
4 小时
1746
B级

聚烯烃 NaCl 0,9% 20 / 2 mg/ml 4°C 避光
8 小时
1746
B级

聚烯烃 NaCl 0,9% 20 / 4 mg/ml 20-25°C 光
4 小时
1746
B级

聚烯烃 NaCl 0,9% 20 / 4 mg/ml 4°C 避光
8 小时
1746
B级

注射器  聚丙烯 注射用水 25/5 mg/ml 2-8°C 避光
4 小时
4922
D级


  Mentions Légales