Son güncelleme :
17/12/2025
Antibiyotik   Amoxicillin sodium / clavulanic acid  
Enjeksiyon
Oral solüsyon / oral çözelti
Çözeltilerin stabilitesi Karışımlardaki stabilitesi Stabiliteyi etkileyen faktörler Uyumluluk Uygulama yöntemi Kaynaklar pdf
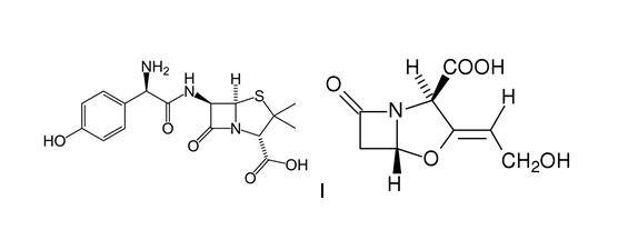
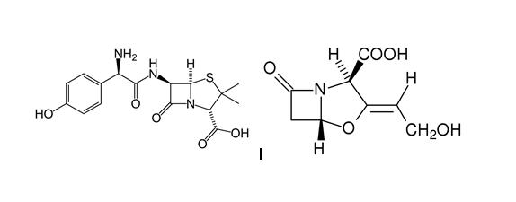
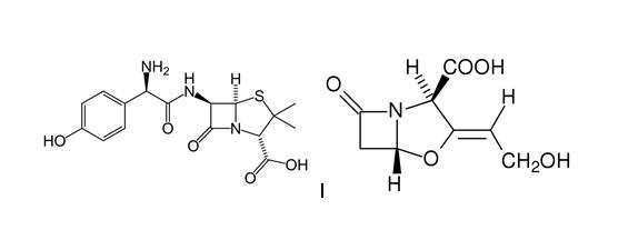
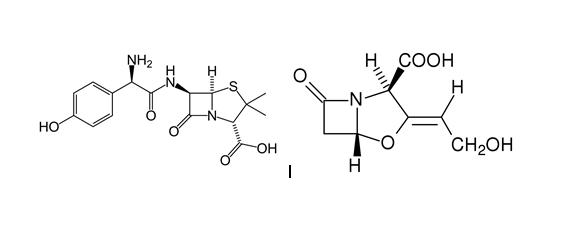
   Kimyasal yapı   

Ticari isim   Ticari isim     

Trade names are indicative and excipients composition can be different depending on the country and manufacturers

Aktil Macaristan
Amoclan Suudi Arabistan
Amoklavin Türkiye
Amoksiklav Polonya
Amoxclav Suudi Arabistan
Amplamox Brezilya
Augmentin Avusturya, Belçika, Birleşik Arap Emirlikleri, Büyük Britanya, Ekvador, Fransa, Hollanda, İspanya, İsviçre, İtalya, Polonya, Şili, Suudi Arabistan, Türkiye, Yunanistan
Betamox Portekiz
Clavamox Avusturya
Clavicin Malezya, Venezuela
Clavulin Brezilya
Co-amoxi İsviçre
Co-Amoxicillin İsviçre
Curam Suudi Arabistan, yeni Zelanda
Darzitil Arjantin
Dibional Arjantin
Julmentin Birleşik Arap Emirlikleri
Novamox Brezilya
Sulbamox Şili
Tarometin Polonya
Trifamox Arjantin, Ekvador, Kolombiya, Meksika

Stabiliteyi etkileyen faktörler    Enjeksiyon    Stabiliteyi etkileyen faktörler : Amoxicillin sodium / clavulanic acid        

  Mentions Légales