viimane versioon :
18/03/2026
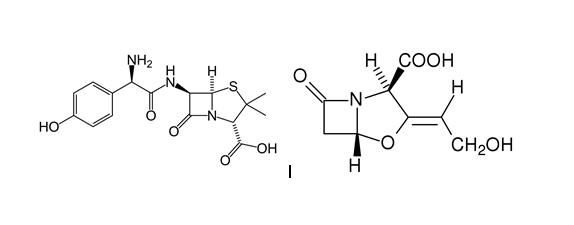
antibiootikum   Amoxicillin sodium / clavulanic acid  
Süsteravim
suukaudne lahus
Stabiilsus lahustes Stabiilsust mõjutavad tegurid stabiilsust mõjutavad faktorid Sobimatus Manustamis viis Viited pdf
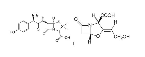
   keemiline struktuur  

Kaubanduslikud nimed erinevates maades   Kaubanduslikud nimed erinevates maades     

Preparaatide nimed on näitlikud ja abianete sisaldus võib erineda sõltuvalt riigist ja laborist

Aktil Ungari
Amoclan Saudi Araabia
Amoklavin Türgi
Amoksiklav Poola
Amoxclav Saudi Araabia
Amplamox Brasiilia
Augmentin Araabia Ühendemiraadid, Austria, Belgia, Ecuador, Hispaania, Holland, Itaalia, Kreeka, Poola, Prantsusmaa, Saudi Araabia, Suurbritannia, Sveits, Tšiili, Türgi
Betamox Portugal
Clavamox Austria
Clavicin Malaisia, Venetsueela
Clavulin Brasiilia
Co-amoxi Sveits
Co-Amoxicillin Sveits
Curam Saudi Araabia, uus-Meremaa
Darzitil Argentiina
Dibional Argentiina
Julmentin Araabia Ühendemiraadid
Novamox Brasiilia
Sulbamox Tšiili
Tarometin Poola
Trifamox Argentiina, Ecuador, Kolumbia, Mehhiko

stabiilsust mõjutavad faktorid   Süsteravim   stabiilsust mõjutavad faktorid : Amoxicillin sodium / clavulanic acid        

  Mentions Légales