Zadnji put ažurirano :
27/04/2026
antibiotik   Penicillin G sodium  
injekcija
Stabilizacija rješenja Stabilnost mješavine Stabilizacijski faktor Kompatibilnosti način davanja lijeka Bibliografija pdf
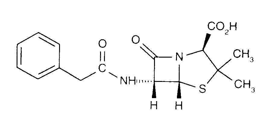
   Kemijska struktura  

Nekomercijalni   Nekomercijalni     

Zaštićeni nazivi su indikativni i sastav ekscipijensa može biti različit ovisno o državi i laboratorijima

Benapen Brazil
Bencilpenicilina Čile, Ekvador, Peru
Benpen Australija, novi Zeland
Bensylpenicillin Švedska
Benzapen Iran
Benzatec Južna Afrika
Benzatron Brazil
Benzylpenicillin Danska, Egipat, Finska, Norveška, Švedska
Benzylpenicilline Tunis
Biconcillina Ekvador
Crystapen Irska, Kanada, Velika Britanija
Declin Meksiko
Fortepen Saudijska Arabija
Geepenil Finska
Natrium penicillin G Nizozemska
Novopen Južna Afrika
Pebencil Venecuela
Penbendox Meksiko
Penibiot Španjolska
Penicillin Norveška
Penicillina G sodica Argentina, Čile, Ekvador, Kolumbija, Portugal
Penilevel Španjolska
Sodiopen Španjolska
Unicillina Španjolska

Stabilizacijski faktor   injekcija   Stabilizacijski faktor : Penicillin G sodium        
Bibliografija
temperatura povišenje izaziva Smanjenje stabilnosti 3227
temperatura povišenje izaziva Degradacija 2056
temperatura povišenje izaziva Degradacija 3702
pH 6,5 < pH < 7,5 izaziva Pojačana stabilnost 1263

  Mentions Légales