viimane versioon :
27/04/2026
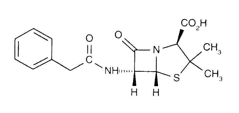
antibiootikum   Penicillin G sodium  
Süsteravim
Stabiilsus lahustes Stabiilsust mõjutavad tegurid stabiilsust mõjutavad faktorid Sobimatus Manustamis viis Viited pdf
   keemiline struktuur  

Kaubanduslikud nimed erinevates maades   Kaubanduslikud nimed erinevates maades     

Preparaatide nimed on näitlikud ja abianete sisaldus võib erineda sõltuvalt riigist ja laborist

Benapen Brasiilia
Bencilpenicilina Ecuador, Maroko, Tšiili
Benpen Austraalia, uus-Meremaa
Bensylpenicillin Rootsi
Benzapen Iraan
Benzatec Lõuna Aafrika Vabariik
Benzatron Brasiilia
Benzylpenicillin Egiptus, Norra, Rootsi, Soome, Taani
Benzylpenicilline Tuneesia
Biconcillina Ecuador
Crystapen Iirimaa, Kanada, Suurbritannia
Declin Mehhiko
Fortepen Saudi Araabia
Geepenil Soome
Natrium penicillin G Holland
Novopen Lõuna Aafrika Vabariik
Pebencil Venetsueela
Penbendox Mehhiko
Penibiot Hispaania
Penicillin Norra
Penicillina G sodica Argentiina, Ecuador, Kolumbia, Portugal, Tšiili
Penilevel Hispaania
Sodiopen Hispaania
Unicillina Hispaania

stabiilsust mõjutavad faktorid   Süsteravim   stabiilsust mõjutavad faktorid : Penicillin G sodium        
Viited
temperatuur suurenemine indutseerib vähenenud stabiilsus 3227
temperatuur suurenemine indutseerib degradatsioon 2056
temperatuur suurenemine indutseerib degradatsioon 3702
pH 6,5 < pH < 7,5 indutseerib stabiilsuse suurenemine 1263

  Mentions Légales