Останнє оновлення :
31/03/2026
Антибіотик   Spiramycine adipate  
ін'єкція
Стійкість в розчинах Стійкість сумішей Фактори, що впливають на стабільність Сумісність Шлях введення Список літератури pdf
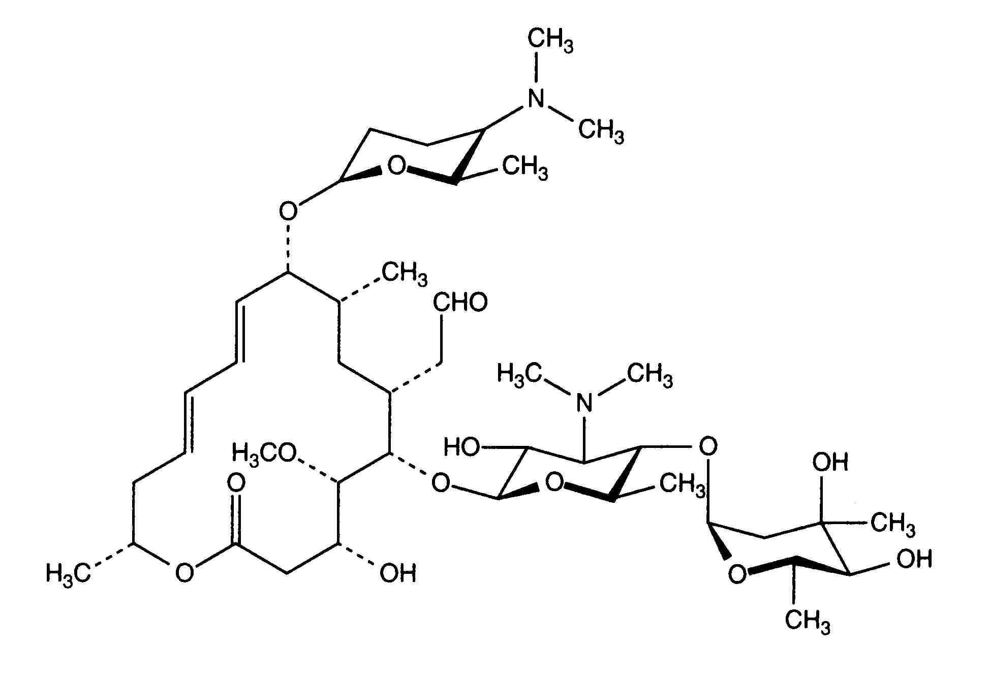
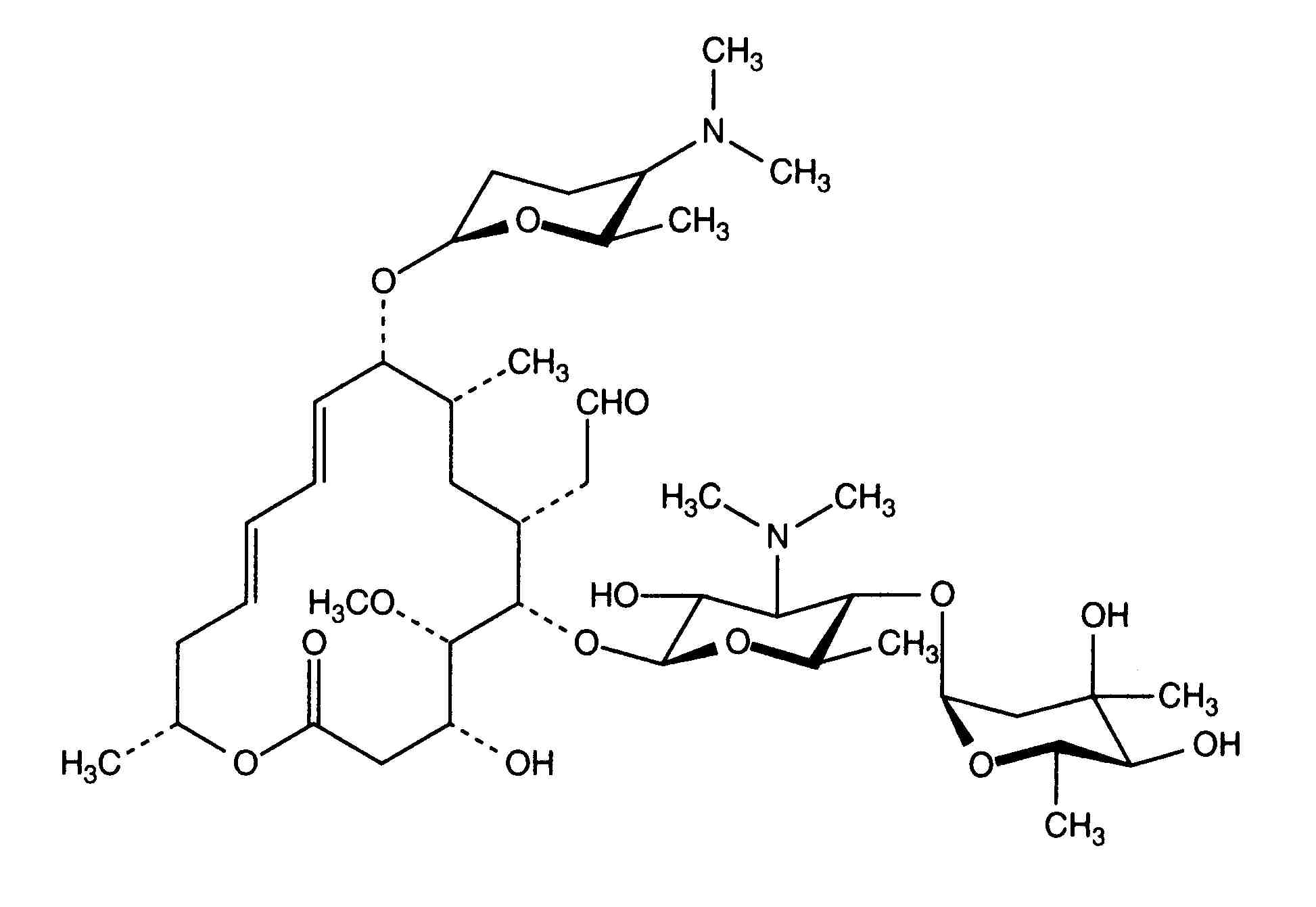
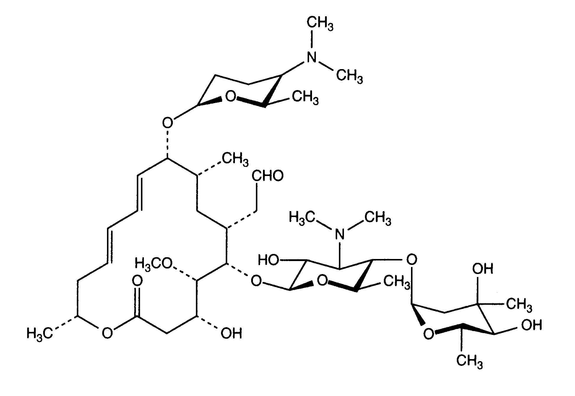
   Хімічна структура  

Торгова назва   Торгова назва     

Торгові назви є орієнтовними, а склад допоміжних речовин може бути різним залежно від країни та виробника

Rovamycine Польща, Франція
Сумісність   ін'єкція   Сумісність : Spiramycine adipate              
explication_incompatibilite_molecules
З'єднання Розчинник Список літератури

  Mentions Légales