Zadnji put ažurirano :
31/03/2026
antibiotik   Spiramycine adipate  
injekcija
Stabilizacija rješenja Stabilnost mješavine Stabilizacijski faktor Kompatibilnosti način davanja lijeka Bibliografija pdf
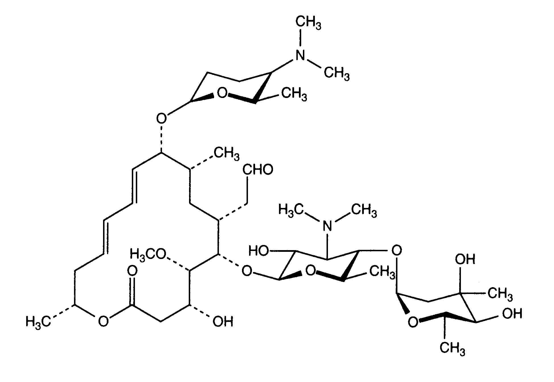
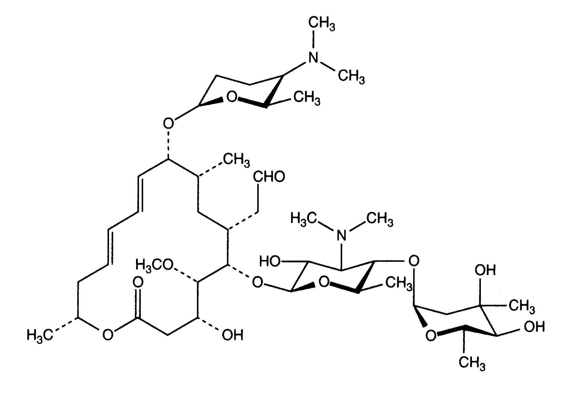
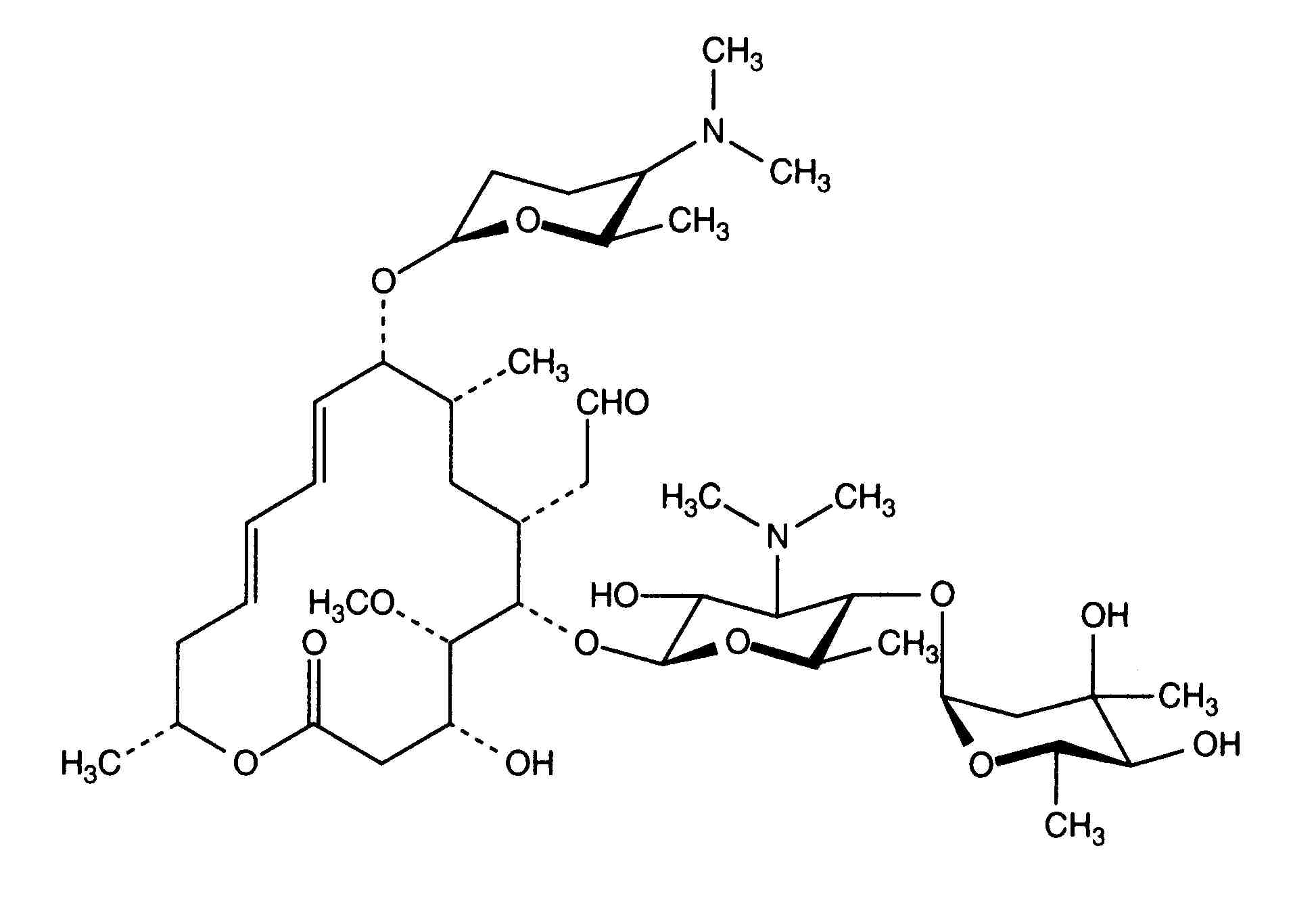
   Kemijska struktura  

Nekomercijalni   Nekomercijalni     

Zaštićeni nazivi su indikativni i sastav ekscipijensa može biti različit ovisno o državi i laboratorijima

Rovamycine Francuska, Poljska
Kompatibilnosti   injekcija   Kompatibilnosti : Spiramycine adipate              
Ovdje su prikazane kompatibilnosti ili nekompatibilnosti s tipom nekompatibilnosti (taloženje, promjena boje, modifikacija emulzije itd.) u ovom slučaju. Kompatibilnosti prikazane ovdje najčešće su fizikalne dok se kemijska stabilnost molekule rijetko procjenjuje. Procjena ovih mikstura je proučavana kako bi se razmotrila mogućnost primjene lijeka putem Y-mjesta. Ovi se podaci ne smiju koristiti za pripremu mikstura unaprijed u vrećicama ili štrcaljkama. Ova vrsta informacije se može pronaći u odjeljku « stabilnost u miksturama ».
molekula sredstvo za rastapanje Bibliografija

  Mentions Légales