Utolsó frissítés :
18/03/2026
Vírusellenes szer   Foscarnet sodium  
Injekció
Az oldatok stabilitása A keverékek stabilitása Stabilitást befolyásoló tényezők Kompatibilitás Az alkalmazás módja Irodalom pdf
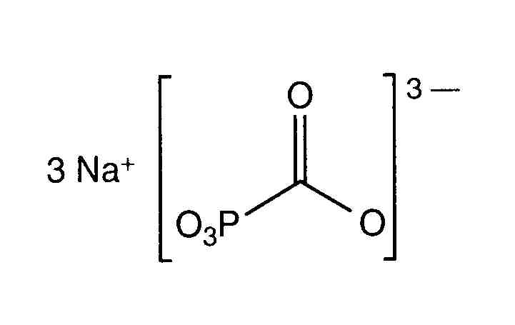
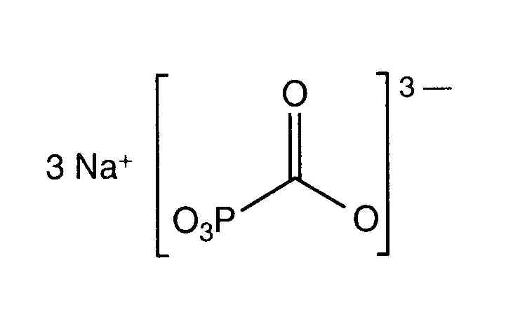
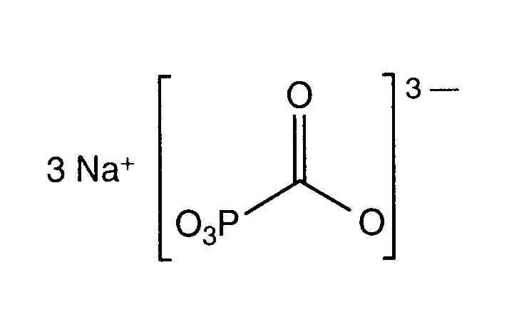
   Kémiai szerkezet   

Kereskedelmi név   Kereskedelmi név     

A kereskedelmi név meghatározó jelentőségű: a készítmények összetétele országonként, előállítóként eltérő lehet

Foscarnet Amerikai Egyesült Államok, Argentína, Chile, Colombia, Ecuador, Mexikó, Peru, Portugália, Spanyolország
Foscavir Amerikai Egyesült Államok, Ausztrália, Ausztria, Belgium, Franciaország, Görögország, Hollandia, Luxemburg, Magyarország, Nagy-Britannia, Németország, Olaszország, Spanyolország, Svájc, Svédország, új-Zéland
Irodalom   Injekció   Irodalom : Foscarnet sodium  
Type publikáció
2 Napló Woods K, Steinmann W, Bruns L, Neels JT.
Stability of foscarnet in 0.9% sodium chloride injection.
Am J Hosp Pharm 1994 ; 51: 88-90.
36 Napló Alex S, Gupta SL, Minor JR, Turcovski-Corrales S, Gallelli JF, Taub D, Piscitelli SC.
Compatibility and activity of aldesleukin (recombinant interleukin-2) in presence of selected drugs during simulated Y-site administration: Evaluation of three methods.
Am J Health-Syst Pharm 1995 ; 52: 2423-2426.
64 Napló DiStefano JE, Outman WR.
Additional data on visual compatibility of foscarnet sodium with morphine sulfate.
Am J Hosp Pharm 1992 ; 49: 1672.
73 Napló Lor E, Takagi J.
Visual compatibility of foscarnet with other injectable drugs.
Am J Hosp Pharm 1990 ; 47: 157-159.
75 Napló Mathew M, Das Gupta V, Bethea C.
Stability of foscarnet sodium in 5% dextrose and 0.9% sodium chloride injections.
J Clin Pharm Ther 1994 ; 19: 35-36.
132 Napló Najari Z, Rusho WJ.
Compatibility of commonly used bone marrow transplant drugs during Y-site delivery.
Am J Health-Syst Pharm 1997 ; 54: 181-184.
246 Napló McDonald C, Boddy M, Garas G.
The stability of foscarnet in the presence of potassium.
Aust J Hosp Pharm 1996 ; 26: 560-561.
496 Napló Lor E, Sheybani T, Takagi J.
Visual compatibility of fluconazole with commonly used injectable drugs during simulated Y-site administration.
Am J Hosp Pharm 1991 ; 48: 744-746.
604 Laboratórium Stabilité des médicaments dans l'Intermate® SV50, 100, 200
Baxter 1998
1135 Napló Baltz JK, Kennedy P, Minor JR, Gallelli J.
Visual compatibility of foscarnet with other injectable drugs during simulated Y-site administration.
Am J Hosp Pharm 1990 ; 47: 2075-2077.
2262 Napló Brammer MK, Chan P, Heatherly K, Trusley C, Kupiec TC, Trissel LA, Psathas PA, Gilmor T, Schaufelberger D.
Compatibility of doripenem with other drugs during simulated Y-site administratioN
Am J Health-Syst Pharm 2008 ; 65: 1261-1265.
3595 Laboratórium Aciclovir - Summary of Product Characteristics
Hospira 2009
3662 Laboratórium Foscavir (Foscarnet®) - Summary of Product Characteristics
Clinigen 2014
3728 Napló Correard F, Savry A, Gauthier-Villano L, Pisano P, Pourroy B.
Visual compatibility of defibrotide with selected drugs during simulated Y-site administration.
Am J Health-Syst Pharm 2014 ; 71: 1288-1291.
3883 Laboratórium Ceftazidime - Résumé des caractéristiques du produit
Arrow 2016
4319 Napló Lessard J-J, Caron E, Schérer H, Forest J-M, Leclair G.
Compatibility of Y-site Injection of Meropenem Trihydrate With 101 Other Injectable Drugs.
Hosp Pharm 2020 ; 55, 5: 332-337.

  Mentions Légales