Seneste opdatering :
18/03/2026
Antiviral   Foscarnet sodium  
Injektion
Stabilitet i (vandige) opløsninger Stabilitet i blandinger Faktorer der påvirker stabiliteten Kompatibilitet Administrationsvej Bibliografi pdf
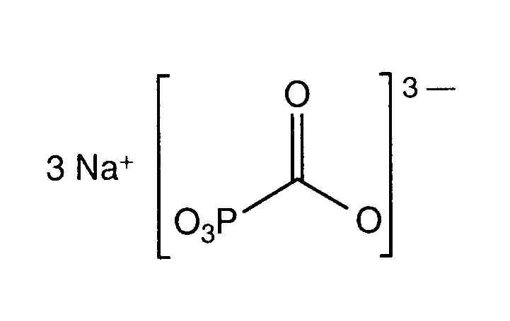
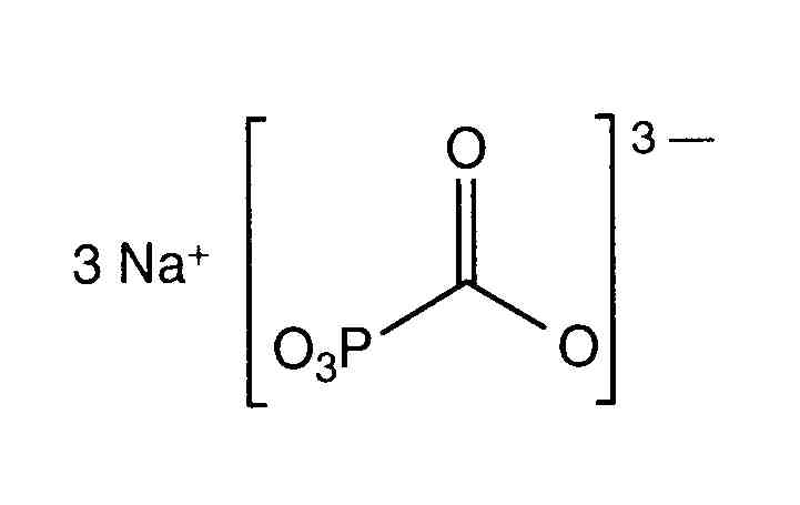
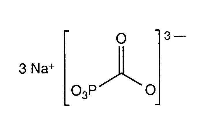
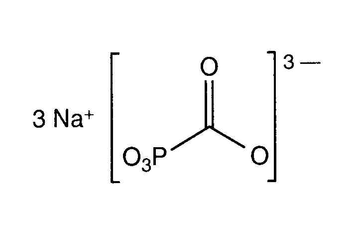
   Kemisk struktur  

Handelsnavn   Handelsnavn     

Handel navne er vejledende og hjælpestoffer sammensætning kan være forskellig afhængigt af landet og laboratorier

Foscarnet Argentina, Chile, Colombia, Ecuador, Marokko, Mexico, Portugal, Spanien, USA
Foscavir Australien, Belgien, Frankrig, Grækenland, Holland, Italien, Luxemborg, New Zealand, Schweiz, Spanien, Storbritanien, Sverige, Tyskland, Ungarn, USA, Østrig
Bibliografi   Injektion   Bibliografi : Foscarnet sodium  
Type offentliggørelse
2 Journal Woods K, Steinmann W, Bruns L, Neels JT.
Stability of foscarnet in 0.9% sodium chloride injection.
Am J Hosp Pharm 1994 ; 51: 88-90.
36 Journal Alex S, Gupta SL, Minor JR, Turcovski-Corrales S, Gallelli JF, Taub D, Piscitelli SC.
Compatibility and activity of aldesleukin (recombinant interleukin-2) in presence of selected drugs during simulated Y-site administration: Evaluation of three methods.
Am J Health-Syst Pharm 1995 ; 52: 2423-2426.
64 Journal DiStefano JE, Outman WR.
Additional data on visual compatibility of foscarnet sodium with morphine sulfate.
Am J Hosp Pharm 1992 ; 49: 1672.
73 Journal Lor E, Takagi J.
Visual compatibility of foscarnet with other injectable drugs.
Am J Hosp Pharm 1990 ; 47: 157-159.
75 Journal Mathew M, Das Gupta V, Bethea C.
Stability of foscarnet sodium in 5% dextrose and 0.9% sodium chloride injections.
J Clin Pharm Ther 1994 ; 19: 35-36.
132 Journal Najari Z, Rusho WJ.
Compatibility of commonly used bone marrow transplant drugs during Y-site delivery.
Am J Health-Syst Pharm 1997 ; 54: 181-184.
246 Journal McDonald C, Boddy M, Garas G.
The stability of foscarnet in the presence of potassium.
Aust J Hosp Pharm 1996 ; 26: 560-561.
496 Journal Lor E, Sheybani T, Takagi J.
Visual compatibility of fluconazole with commonly used injectable drugs during simulated Y-site administration.
Am J Hosp Pharm 1991 ; 48: 744-746.
604 Laboratorium Stabilité des médicaments dans l'Intermate® SV50, 100, 200
Baxter 1998
1135 Journal Baltz JK, Kennedy P, Minor JR, Gallelli J.
Visual compatibility of foscarnet with other injectable drugs during simulated Y-site administration.
Am J Hosp Pharm 1990 ; 47: 2075-2077.
2262 Journal Brammer MK, Chan P, Heatherly K, Trusley C, Kupiec TC, Trissel LA, Psathas PA, Gilmor T, Schaufelberger D.
Compatibility of doripenem with other drugs during simulated Y-site administratioN
Am J Health-Syst Pharm 2008 ; 65: 1261-1265.
3595 Laboratorium Aciclovir - Summary of Product Characteristics
Hospira 2009
3662 Laboratorium Foscavir (Foscarnet®) - Summary of Product Characteristics
Clinigen 2014
3728 Journal Correard F, Savry A, Gauthier-Villano L, Pisano P, Pourroy B.
Visual compatibility of defibrotide with selected drugs during simulated Y-site administration.
Am J Health-Syst Pharm 2014 ; 71: 1288-1291.
3883 Laboratorium Ceftazidime - Résumé des caractéristiques du produit
Arrow 2016
4319 Journal Lessard J-J, Caron E, Schérer H, Forest J-M, Leclair G.
Compatibility of Y-site Injection of Meropenem Trihydrate With 101 Other Injectable Drugs.
Hosp Pharm 2020 ; 55, 5: 332-337.

  Mentions Légales