Последнее обновление :
18/03/2026
Иммуннодепрессант   Ciclosporin  
Инъекция
Глазные капли Мази Раствор для перорального приёма
Стабильность растворов Стабильность смесей Факторы, которые влияют на стабильность Совместимость Способы введения Библиография pdf
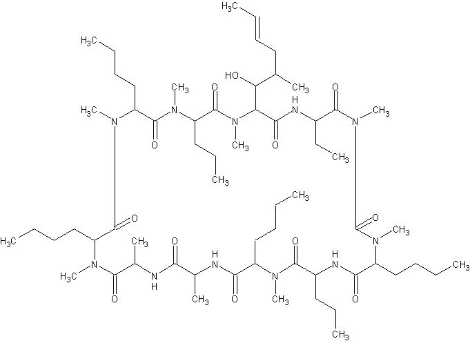
   Химическая структура  

Товарное название   Товарное название     

Trade names are indicative and excipients composition can be different depending on the country and manufacturers

Cyclosporine Канада, Соединённые Штаты Америки
Graftin Индия
Sandimmum Австралия, Австрия, Аргентина, Бельгия, Великобритания, Венгрия, Германия, Греция, Дания, Иран, Ирландия, Исландия, Испания, Италия, Колумбия, Люксембург, Малайзия, Марокко, Мексика, новая Зеландия, Норвегия, Объединенные Арабские Эмираты, Перу, Польша, Португалия, Саудовская Аравия, Тунис, Турция, Финляндия, чили, Швейцария, Швеция
Стабильность смесей   Инъекция   Стабильность смесей : Ciclosporin     
Упаковка Растворитель Концентрация Молекула Температура Хранение Продолжительность стабильности Ссылки
Стекло Глюкоза 5% 2 mg/ml
Инъекция   Ciclosporin   
Инъекция   Magnesium sulfate 30 mg/ml
24°C
6 Час
Свет 291
Уровень доказательности D

  Mentions Légales