Last update :
27/11/2025
Immunosuppressant   Ciclosporin  
injection
Eye-drops Ointments Oral solution
Stability in solutions Stability of mixtures Factors which affect stability Compatibility Route of administration References pdf
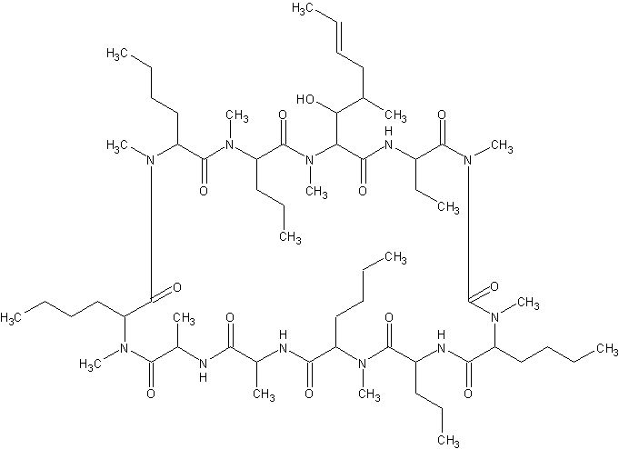
   Chemical structure  

Tradename   Tradename     

Trade names are indicative and excipients composition can be different depending on the country and manufacturers

Cyclosporine Canada, United States of America
Graftin India
Sandimmum Argentina, Australia, Austria, Belgium, Chile, Colombia, Denmark, Finland, Germany, Great Britain, Greece, Hungary, Iceland, Iran, Ireland, Italy, Luxembourg, Malaysia, Mexico, Morocco, New Zealand, Norway, Peru, Poland, Portugal, Saudi Arabia, Spain, Sweden, Switzerland, Tunisia, Turkey, United Arab Emirates
Stability of mixtures   injection   Stability of mixtures : Ciclosporin     
Container Solvent Concentration Compound Temperature Storage Duration of stability References
Glass Glucose 5% 2 mg/ml
injection   Ciclosporin   
injection   Magnesium sulfate 30 mg/ml
24°C
6 Hour
Light 291
Level of evidence D

  Mentions Légales