Ostatnia aktualizacja :
27/11/2025
Lek immunosupresyjny   Ciclosporin  
Injekcje
Krople oczne Maści Roztwór doustny
Trwałość roztworów Trwałość w mieszaninie Czynnik wpływający na trwałość Zgodność Sposób podania Bibliografia pdf
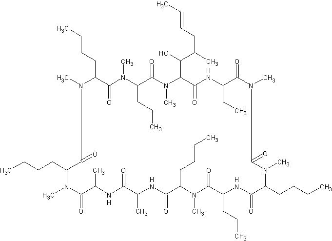
   Struktura chemiczna  

Nazwa handlowa   Nazwa handlowa     

Trade names are indicative and excipients composition can be different depending on the country and manufacturers

Cyclosporine Kanada, Stany Zjednoczone Ameryki
Graftin Indie
Sandimmum Arabia Saudyjska, Argentyna, Australia, Austria, Belgia, Chile, Dania, Finlandia, Grecja, Hiszpania, Iran, Irlandia, Islandia, KolumbiaKolumbia, Luksemburg, Malezja, Maroko, Meksyk, Niemcy, Norwegia, nowa Zelandia, Peru, Polska, Portugalia, Szwajcaria, Szwecja, Tunisie, Turcja, Węgry, Wielka Brytania, Włochy, Zjednoczone Emiraty Arabskie
Trwałość w mieszaninie   Injekcje   Trwałość w mieszaninie : Ciclosporin     
Pojemnik Rozpuszczalnik Stężenie Związek Temperatura Przechowywanie Czas trwania stabilności Bibliografia
Szkło Glukoza 5% 2 mg/ml
Injekcje   Ciclosporin   
Injekcje   Magnesium sulfate 30 mg/ml
24°C
6 Godzina
światło 291
Poziom wiarygodności D

  Mentions Légales