Pēdējā atjaunošana :
27/11/2025
Vitamīns   Phytomenadione  
Injekcija
Orāls šķīdums
Šķīduma stabilitāte Maisījuma stabilitāte Stabilitāti ietekmējoši faktori Saderība Levadīšanas veids Literatūras saraksts pdf
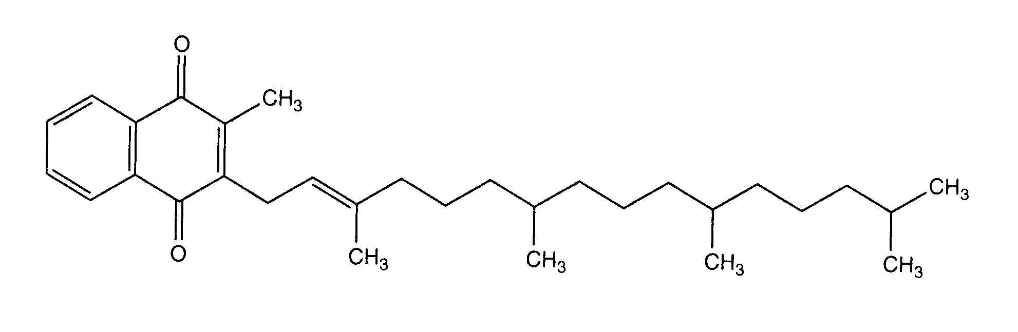
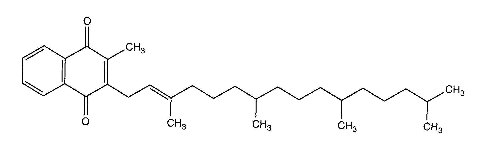
   Ķīmiskā uzbūve   

Oriģinālais nosaukums   Oriģinālais nosaukums     

Tirdzniecības nosaukumi ir apzīmējoši un palīgvielas var atšķirties dažādām valstīm un laboratorijām

Adcokion Ēģipte
Amidalak Meksika
Amri-K Ēģipte
Aquamephyton Amerikas Savienotās Valstis
Epikavit Ēģipte
Haemokion Ēģipte
Hyvit Brazīlija
Kanakion Brazīlija, Portugāle
Kavit Brazīlija
Kenadion Indija
Kisan Malaizija
Konakion Apvienotie Arābu Emirāti, Argentīna, Austrija, Beļģija, Čīle, Dānija, Ēģipte, Ekvadora, Grieķija, Holande, Horvātija, Īrija, Islande, Itālija, Jaunzēlande, Kolumbija, Lielbritānija, Luksemburga, Maroka, Norvēģija, Polija, Saūda Arābija, Somija, Spānija, Šveice, Turcija, Ungārija, Vācija, Zviedrija
Oskavit Irāna
Rupek Argentīna
Vikadic Irāna
Vitatron Brazīlija
Šķīduma stabilitāte   Injekcija   Šķīduma stabilitāte : Phytomenadione     
Nav datu

  Mentions Légales