最新更新 :
27/11/2025
ビタミン   Phytomenadione  
注射薬
経口液
溶媒内の安定性 混合時の安定性 安定性に影響する因子 互換性 投与経路 引用文献 PDF
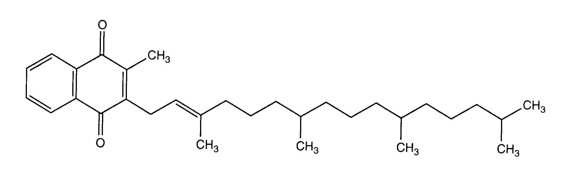
   化学構造  

商品名   商品名     

商品名、賦形剤は国、製薬会社ごとに異なることがあります

Adcokion エジプト
Amidalak メキシコ
Amri-K エジプト
Aquamephyton アメリカ
Epikavit エジプト
Haemokion エジプト
Hyvit ブラジル
Kanakion ブラジル, ポルトガル
Kavit ブラジル
Kenadion インド
Kisan マレーシア
Konakion アイスランド, アイルランド, アラブ首長国連邦, アルゼンチン, イギリス, イタリア, エクアドル, エジプト, オランダ, オーストリア, ギリシア, クロアチア, コロンビア, サウジアラビア, スイス, スウェーデン, スペイン, チリ, デンマーク, トルコ, ドイツ, ニュージーランド, ノルウェー, ハンガリー, フィンランド, ベルギー, ポーランド, モロッコ, ルクセンブルグ
Oskavit イラン
Rupek アルゼンチン
Vikadic イラン
Vitatron ブラジル
溶媒内の安定性   注射薬   溶媒内の安定性 : Phytomenadione     
データなし

  Mentions Légales