Posledná aktualizácia :
18/03/2026
vitamín   Phytomenadione  
Injekcia
Perorálny roztok
Stabilita roztokov Stabilita v zmesiach Faktory ovplyvňujúce stabilitu Kompatibility spôsob podania Odkazy na literatúru PDF
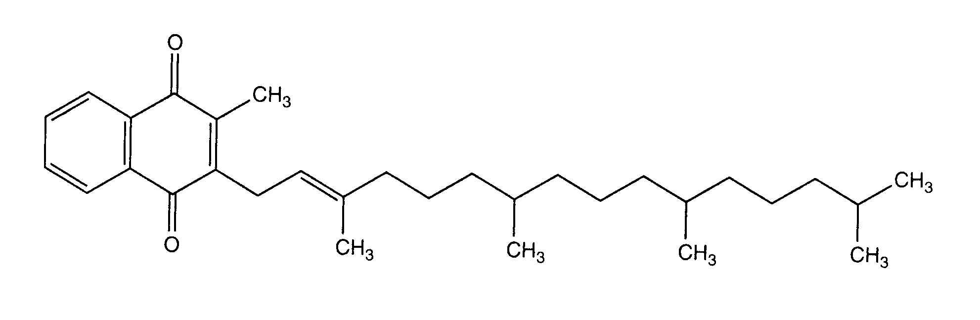
   Chemický vzorec  

Obchodný názov   Obchodný názov     

Obchodné názvy sú orientačné, a zloženie pomocných látok sa môže líšiť v závislosti od krajiny a výrobcu.

Adcokion Egypt
Amidalak Mexiko
Amri-K Egypt
Aquamephyton Spojené štáty Americké
Epikavit Egypt
Haemokion Egypt
Hyvit Brazília
Kanakion Brazília, Portugalsko
Kavit Brazília
Kenadion India
Kisan Malajzia
Konakion Argentína, Belgicko, Chorvátsko, Čile, Dánsko, Egypt, Ekvádor, Fínsko, Grécko, Holandsko, Írsko, Island, Kolumbia, Luxembursko, Maďarsko, Maroko, Nemecko, Nórsko, nový Zéland, Poľsko, Rakúsko, Saudská Arábia, Španielsko, Spojené arabské emiráty, Švajčiarsko, Švédsko, Taliansko, Turecko, Veľká Británia
Oskavit Irán
Rupek Argentína
Vikadic Irán
Vitatron Brazília
Stabilita v zmesiach   Injekcia   Stabilita v zmesiach : Phytomenadione     
žiadne údaje

  Mentions Légales