آخر تحديث :
27/11/2025
فيتامين   Phytomenadione  
حقن
عن طريق الفم
الاستقرار في حلول استقرار مخاليط العوامل التي تؤثر على الاستقرار التوافق طريقة التعاطي مراجع pdf
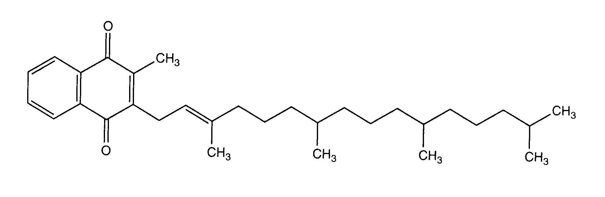
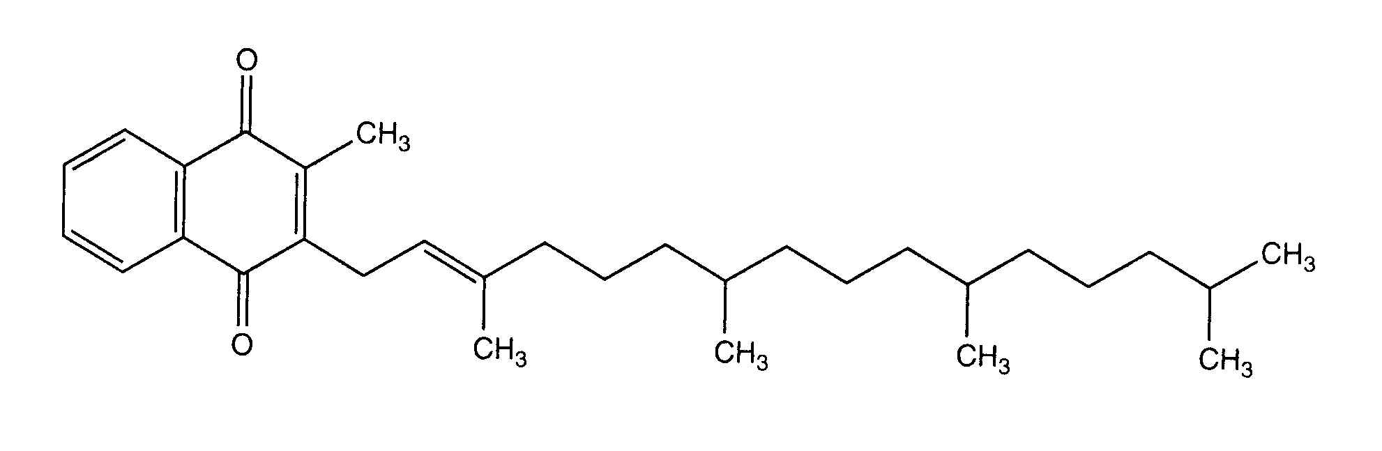
   التركيب الكيميائي  

حجز الاسم التجاري   حجز الاسم التجاري     

تحذير الأسماء التجاريه المختلفه قد تحتوي علي محتوي إضافات مختلفة حسب الدوله و المعمل

Adcokion مصر
Amidalak المكسيك
Amri-K مصر
Aquamephyton الولايات المتحدة
Epikavit مصر
Haemokion مصر
Hyvit البرازيل
Kanakion البرازيل, البرتغال
Kavit البرازيل
Kenadion الهند
Kisan ماليزيا
Konakion ألمانيا, أيسلندا, إسبانيا, إيطاليا, الأرجنتين, الإكوادور, الإمارات العربية المتحدة, الدنمارك, السويد, العربية السعودية, المغرب, النرويج, النمسا, ايرلندا, بريطانيا العظمي, بلجيكا, بولندا, تركيا, تشيلي, زيلاندا الجديدة, سويسرا, فنلندا, كرواتيا, كولومبيا, لوكسمبورغ, مصر, هنغاريا, هولندا, يونان
Oskavit إيران
Rupek الأرجنتين
Vikadic إيران
Vitatron البرازيل
استقرار مخاليط   حقن   استقرار مخاليط : Phytomenadione     
لا توجد بيانات

  Mentions Légales