Последнее обновление :
27/11/2025
Антибиотик   Ampicillin sodium - sulbactam sodium  
Инъекция
Стабильность растворов Стабильность смесей Факторы, которые влияют на стабильность Совместимость Способы введения Библиография pdf
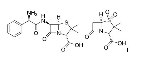
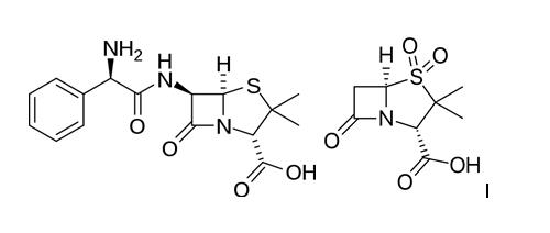
   Химическая структура  

Товарное название   Товарное название     

Trade names are indicative and excipients composition can be different depending on the country and manufacturers

Alfasid Турция
Ampibac Колумбия
Ampibactam Венесуэла
Ampicillin sulbactam Австралия
Ampicillina sodica - sulbactam Бразилия, Эквадор
Ampictam Египет
Ampiplus Румыния, Саудовская Аравия
Ampisid Турция
Ampixim Венесуэла
Bacimex Испания
Begalin Греция
Bethacil Италия
Cinclox Индия
Combicid Турция
Darzitil Аргентина
Duobaktam Турция
Duocid Турция
Galotam Испания
Libractam чили
Loricin Италия
Prixin Аргентина
Ranpisul Мексика
Retarpen Испания
Sabect Египет
Sulamp Колумбия
Sulbacter Венесуэла
Sulbaksit Турция
Sulbin Египет
Sulcid Турция
Sumitan Венесуэла, Колумбия
Synerpen Египет
Ultracillin Египет
Unacid Германия
Unacim Франция
Unasyn Австрия, Бразилия, Венгрия, Германия, Египет, Испания, Италия, Колумбия, Малайзия, Марокко, Мексика, Перу, Польша, Саудовская Аравия, Соединённые Штаты Америки, чили, Эквадор, Япония
Unictam Египет
Xilbac Перу
Способы введения   Способы введения :Ampicillin sodium - sulbactam sodium     
Voie
Интравенный, внутривенный
Внутримышечный

  Mentions Légales