آخر تحديث :
27/11/2025
مضاد حيوي   Ampicillin sodium - sulbactam sodium  
حقن
الاستقرار في حلول استقرار مخاليط العوامل التي تؤثر على الاستقرار التوافق طريقة التعاطي مراجع pdf
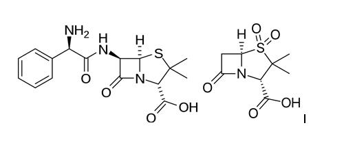
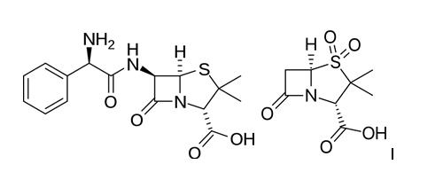
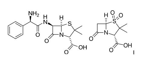
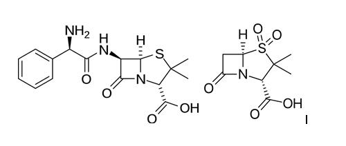
   التركيب الكيميائي  

حجز الاسم التجاري   حجز الاسم التجاري     

تحذير الأسماء التجاريه المختلفه قد تحتوي علي محتوي إضافات مختلفة حسب الدوله و المعمل

Alfasid تركيا
Ampibac كولومبيا
Ampibactam فنزويلا
Ampicillin sulbactam أستراليا
Ampicillina sodica - sulbactam الإكوادور, البرازيل
Ampictam مصر
Ampiplus العربية السعودية, رومانيا
Ampisid تركيا
Ampixim فنزويلا
Bacimex إسبانيا
Begalin يونان
Bethacil إيطاليا
Cinclox الهند
Combicid تركيا
Darzitil الأرجنتين
Duobaktam تركيا
Duocid تركيا
Galotam إسبانيا
Libractam تشيلي
Loricin إيطاليا
Prixin الأرجنتين
Ranpisul المكسيك
Retarpen إسبانيا
Sabect مصر
Sulamp كولومبيا
Sulbacter فنزويلا
Sulbaksit تركيا
Sulbin مصر
Sulcid تركيا
Sumitan فنزويلا, كولومبيا
Synerpen مصر
Ultracillin مصر
Unacid ألمانيا
Unacim فرنسا
Unasyn ألمانيا, إسبانيا, إيطاليا, الإكوادور, البرازيل, العربية السعودية, المغرب, المكسيك, النمسا, الولايات المتحدة, اليابان, بولندا, بيرو, تشيلي, كولومبيا, ماليزيا, مصر, هنغاريا
Unictam مصر
Xilbac بيرو
طريقة التعاطي   طريقة التعاطي :Ampicillin sodium - sulbactam sodium     
Voie
وريدي
الحقن في  العضلة

  Mentions Légales