Última actualização :
18/03/2026
antibiótico   Ampicillin sodium - sulbactam sodium  
injetável
Estabilidade em soluções simples Estabilidade em misturas Factores que afectam a sua estabilidade Compatibilidade Método de administração Bibliografía pdf
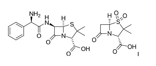
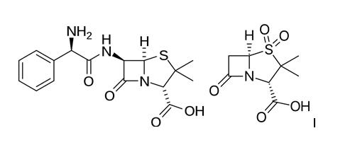
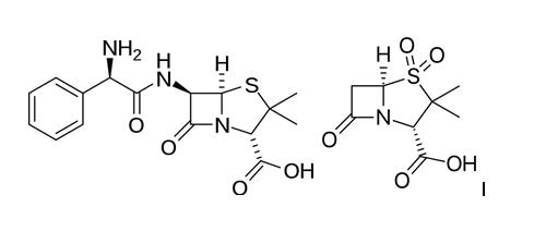
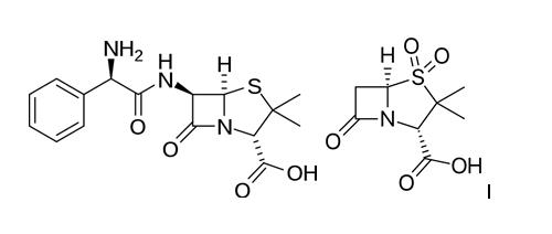
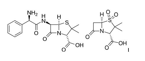
   estrutura química  

Nomes comerciais nos diversos países   Nomes comerciais nos diversos países     

OS NOMES COMERCIAIS SÃO INDICATIVOS E OS EXCIPIENTES DA FORMULAÇÃO PODEM SER DIFERENTES CONFORME O PAÍS E FABRICANTE.

Alfasid Turquia
Ampibac Colômbia
Ampibactam Venezuela
Ampicillin sulbactam Australia
Ampicillina sodica - sulbactam Brasil, Equator
Ampictam Egipto
Ampiplus Arábia Saudita, Romènia
Ampisid Turquia
Ampixim Venezuela
Bacimex Espanha
Begalin Grècia
Bethacil Itália
Cinclox Índia
Combicid Turquia
Darzitil Argentina
Duobaktam Turquia
Duocid Turquia
Galotam Espanha
Libractam Chilli
Loricin Itália
Prixin Argentina
Ranpisul México
Retarpen Espanha
Sabect Egipto
Sulamp Colômbia
Sulbacter Venezuela
Sulbaksit Turquia
Sulbin Egipto
Sulcid Turquia
Sumitan Colômbia, Venezuela
Synerpen Egipto
Ultracillin Egipto
Unacid Alemanha
Unacim França
Unasyn Alemanha, Arábia Saudita, Austria, Brasil, Chilli, Colômbia, Egipto, Equator, Espanha, Estados Unidos de América, Hungria, Itália, Japón, Malásia, Marrocos, México, Peru, Polonia
Unictam Egipto
Xilbac Peru
Método de administração   Método de administração :Ampicillin sodium - sulbactam sodium     
Voie
intravenoso
intramuscular

  Mentions Légales