Senaste uppdateringen :
17/12/2025
Antibiotikum   Ampicillin sodium - sulbactam sodium  
injektion
Lösningars stabilitet Stabilitet i blandningar Faktorer som påverkar stabiliteten Kompatibilitet Administreringssätt Hänvisningar pdf
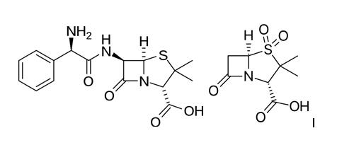
   Molekylstruktur  

Varunamn   Varunamn     

Angivna handelsnamn på läkemedel är enbart vägledande då formulering inklusive hjälpämnen kan variera mellan länder och tillverkare

Alfasid Turkiet
Ampibac Colombia
Ampibactam Venezuela
Ampicillin sulbactam Australien
Ampicillina sodica - sulbactam Brasilien, Ecuador
Ampictam Egypten
Ampiplus Rumänien, Saudi-Arabien
Ampisid Turkiet
Ampixim Venezuela
Bacimex Spanien
Begalin Grekland
Bethacil Italien
Cinclox Indien
Combicid Turkiet
Darzitil Argentina
Duobaktam Turkiet
Duocid Turkiet
Galotam Spanien
Libractam Chile
Loricin Italien
Prixin Argentina
Ranpisul Mexiko
Retarpen Spanien
Sabect Egypten
Sulamp Colombia
Sulbacter Venezuela
Sulbaksit Turkiet
Sulbin Egypten
Sulcid Turkiet
Sumitan Colombia, Venezuela
Synerpen Egypten
Ultracillin Egypten
Unacid Tyskland
Unacim Frankrike
Unasyn Brasilien, Chile, Colombia, Ecuador, Egypten, Förenta Staterna, Italien, Japan, Malaysia, Marocko, Mexiko, Österrike, Peru, Polen, Saudi-Arabien, Spanien, Tyskland, Ungern
Unictam Egypten
Xilbac Peru

Faktorer som påverkar stabiliteten   injektion   Faktorer som påverkar stabiliteten : Ampicillin sodium - sulbactam sodium        

  Mentions Légales