Seneste opdatering :
17/12/2025
Antibiotisk   Ampicillin sodium - sulbactam sodium  
Injektion
Stabilitet i (vandige) opløsninger Stabilitet i blandinger Faktorer der påvirker stabiliteten Kompatibilitet Administrationsvej Bibliografi pdf
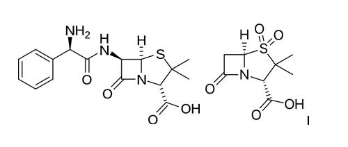
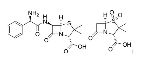
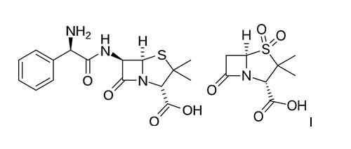
   Kemisk struktur  

Handelsnavn   Handelsnavn     

Handel navne er vejledende og hjælpestoffer sammensætning kan være forskellig afhængigt af landet og laboratorier

Alfasid Tyrkiet
Ampibac Colombia
Ampibactam Venezuela
Ampicillin sulbactam Australien
Ampicillina sodica - sulbactam Brasilien, Ecuador
Ampictam Ægypten
Ampiplus Rumænien, Saudi-Arabien
Ampisid Tyrkiet
Ampixim Venezuela
Bacimex Spanien
Begalin Grækenland
Bethacil Italien
Cinclox Indien
Combicid Tyrkiet
Darzitil Argentina
Duobaktam Tyrkiet
Duocid Tyrkiet
Galotam Spanien
Libractam Chile
Loricin Italien
Prixin Argentina
Ranpisul Mexico
Retarpen Spanien
Sabect Ægypten
Sulamp Colombia
Sulbacter Venezuela
Sulbaksit Tyrkiet
Sulbin Ægypten
Sulcid Tyrkiet
Sumitan Colombia, Venezuela
Synerpen Ægypten
Ultracillin Ægypten
Unacid Tyskland
Unacim Frankrig
Unasyn Brasilien, Chile, Colombia, Ecuador, Italien, Japan, Malaysia, Marokko, Marokko, Mexico, Polen, Saudi-Arabien, Spanien, Tyskland, Ungarn, USA, Ægypten, Østrig
Unictam Ægypten
Xilbac Marokko

Faktorer der påvirker stabiliteten   Injektion   Faktorer der påvirker stabiliteten : Ampicillin sodium - sulbactam sodium        

  Mentions Légales